Belajar Pintar Materi SMP, SMA, SMK
BelajarPintarV3
Matematika
Persamaan dan Fungsi Kuadrat
MATERI
Menentukan Akar-akar Persamaan Kuadrat

Persamaan kuadrat adalah persamaan polinom berderajat dua. Bentuk umum persamaan kuadrat dituliskan sebagai ax2 + bx + c = 0 atau dalam bentuk fungsi kuadrat adalah y = ax2 + bx + c.
Keterangan:
x = variabel
a = koefisien kuadrat dari x2
b = koefisien linear dari x
c = konstanta
Akar-akar persamaan kuadrat ax2 + bx + c = 0 merupakan nilai variabel x sehingga persamaan kuadrat bernilai benar. Akar-akar suatu persamaan kuadrat maskimal ada dua.
Pada grafik fungsi kuadrat, jika x1 dan x2 adalah akar-akar persamaan kuadrat, maka titik-titik dengan koordinat (x1, 0) dan (x2, 0) merupakan titik potong kurva persamaan kuadrat dengan sumbu x.
Mencari akar-akar dalam menyelesaikan persamaan kuadrat dilakukan dengan 3 cara sebagai berikut.
1. Faktorisasi
Faktorisasi atau pemfaktoran merupakan cara mencari akar-akar persamaan kuadrat dengan mencari nilai yang jika dikalikan akan menghasilkan nilai lain. Ada tiga bentuk persamaan kuadrat dengan faktorisasi akar-akar yang berbeda seperti berikut:

Contoh Soal :
Tentukan akar-akar persamaan kuadrat x2 – 6x + 8 = 0!
Pembahasan :
x2 – 6x + 8 = 0
(x – 2)(x – 4) = 0
x – 2 = 0 atau x – 4 = 0
x = 2 x = 4
Jadi, akar-akar persamaan kuadrat x2 – 6x + 8 = 0 adalah x1 = 2 dan x2 = 4
2. Kuadrat Sempurna
Tidak semua persamaan kuadrat bisa diselesaikan dengan cara faktorisasi, cara lain untuk menyelesaikan persamaan kuadrat dengan cara melengkapkan kuadrat sempurna.
Bentuk persamaan kuadrat sempurna adalah bentuk persamaan yang menghasilkan bilangan rasional. Penyelesaian persamaan kuadrat dengan melengkapkan kuadrat menggunakan rumus:
(x + p)2 = x2 + 2px + p2
Ubah menjadi bentuk persamaan dalam (x+p)2 = q
Pembahasan :
(x + p)2 = q
x + p = + q
x = -p + q
Contoh Soal :
Tentukan akar-akar persamaan kuadrat x2 – 6x + 8 = 0!
Pembahasan :
x2 – 6x + 8 = 0
x2 – 6x = –8
x2 – 6x +... = –8 + ...
x2 – 6x + 9 = –8 + 9
(x – 3)2 = 1
x – 3) =+ 1
Jika x – 3 = –1 dan jika x – 3 = 1
x = –1 + 3 x = 1 + 3
x = 2 x = 4
Jadi, akar-akar persamaan kuadrat x2 – 6x + 8 = 0 adalah x1 = 2 dan x2 = 4
3. Rumus Kuadrat (Rumus abc)
Selain menggunakan faktorisasi dan dengan melengkapi kuadrat sempurna, persamaan kuadrat dapat diselesaikan dengan menggunakan rumus kuadrat atau biasa dikenal dengan rumus abc.

Bentuk b2 - 4ac dinamakan dengan Deskriminan (D)
Contoh soal :
Tentukan akar-akar persamaan x2 – 6x + 8 = 0!
Pembahasan :
Diketahui a = 1, b = –6, c = 8

Jadi, akar-akar persamaan kuadrat x2 – 6x + 8 = 0 adalah x1 = 4 dan x2 = 2
1.
Kerjakan soal berikut dengan tepat!
Berikut ini yang merupakan persamaan kuadrat adalah ....
A. x2 - 7 = 3
B. x3 + 7x2 - 6x + 8 = 0
C. x+ 6 = -2x + 9
D. x2 + 1/x + x = 0
JAWABAN BENAR
A.
x2 - 7 = 3
PEMBAHASAN
(Jawaban a) Persamaan kuadrat dengan b = 0 (variabel x tidak ada)
(Jawaban b) Bukan persamaan kuadrat, karena terdapat variabel berpangkat 3.
(Jawaban c) Bukan persamaan kuadrat, karena tidak terdapat variabel berpangkat 2. Dengan kata lain,a = 0.
(Jawaban d) Bukan persamaan kuadrat, karena terdapat bentuk 1/x
2.
Kerjakan soal berikut dengan tepat!
Akar-akar persamaan kuadrat x2 + ax - 4 = 0 adalah p dan q . Jika p2 - 2pq + q2 = 8a, maka nilai a adalah ....
A. -8
B. -4
C. 4
D. 8
JAWABAN BENAR
C.
4
PEMBAHASAN
Menggunakan metode faktorisasi:
Diketahui jumlah akar p + q = -a/1 = -a dan hasil kali akar pq = -4/1 = -4
Selanjutnya, akan dicari nilai a.
p2 - 2pq + q2 = 8a
(p +q)2 - 4pq = 8a
Substitusikan p + q = -a dan pq = -4
(-a)2 - 4(-4) - 8a = 0
a2 - 8a + 16 = 0
(a - 4)(a - 4) = 0
a = 4
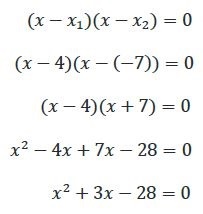
3.
Kerjakan soal berikut dengan tepat!
Suatu persamaan kuadrat memiliki akar-akar 4 dan -7, maka persamaan kuadratnya adalah ….
A. -x2-3x-28=0
B. -x2+3x-28=0
C. x2+3x+28=0
D. x2+3x-28=0
JAWABAN BENAR
D.
x2+3x-28=0
PEMBAHASAN

4.
Kerjakan soal berikut dengan tepat!
Apabila salah satu akar dari persamaan kuadrat x2-4x+c=0 yaitu 2, maka nilai c yang memenuhi persamaan tersebut adalah ….
A. -4
B. -2
C. 2
D. 4
JAWABAN BENAR
D.
4
PEMBAHASAN

Oops!!!
Yah, jawaban kamu meleset nih. Ingin melihat pembahasan soal ini?
BENAR!!!
Selamat!
Jawaban kamu benar. Ingin lihat pembahasan soal ini?
footer_v3
Bersama Aku Pintar temukan jurusan kuliah yang tepat
sesuai minat dan bakatmu.
Aku Pintar memiliki visi membuat pendidikan merata, mudah dijangkau, dan terjangkau dengan Program Journey Pintar yang merupakan sebuah program persiapan lengkap bagi siswa SMA/SMK/sederajat yang ingin masuk ke perguruan tinggi impiannya.
Kontak Kami
Grand Slipi Tower Lt. 42
Jl. S. Parman Kav 22-24
Jakarta Barat
© 2024 Aku Pintar. All Rights Reserved