Belajar Pintar Materi SMP, SMA, SMK
BelajarPintarV3
Matematika IPA
Turunan
MATERI
Menentukan Turunan Fungsi f(x) = ax
Misalkan, fungsi f(x) = axn dengan n = 1, 2, dan 3. Untuk n = 1, diperoleh f(x) = ax dan turunan fungsi tersebut adalah
Untuk n = 2, diperoleh f (x) = ax2 dan turunan fungsi tersebut adalah
Dengan cara yang sama, coba sobat pintar cari turunan fungsi f(f x) = ax3 , f(x) = ax4 dan f(x) = ax5.
Sobat pintar dapat menurunkan hal seperti ini untuk fungsi-fungsi berikut.
Dari uraian tersebut, dapatkah sobat pintar menduga bentuk umum turunan fungsi? Cobalah nyatakan bentuk tersebut dengan kata-kata sobat sendiri. Konsep yang telah sobat pintar pelajari tersebut memperjelas kesimpulan berikut:
Untuk n = 0, f(x) = axn menjadi f(x) = ax0 = a. Fungsi f(f x) = a dinamakan fungsi konstan sehingga untuk berapa pun nilai x, nilai fungsinya tetap, yaitu a.
Contoh
Tentukanlah turunan fungsi-fungsi berikut ini !
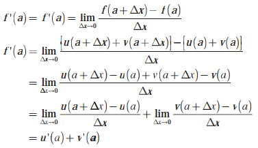
a. f(x) = x4
b. f(x) = –8x3
Jawab:
a. f(x) = x4 maka f '(x) = 4x4–1 = 4x3
b. f(x) = –8x3 maka f ' (x) = –8(3)x3–1 = –24x2
Bagaimana sobat pintar, apakah sudah semakin paham ?
Menentukan Turunan Fungsi f(x)=axn dengan n Bilangan Rasional
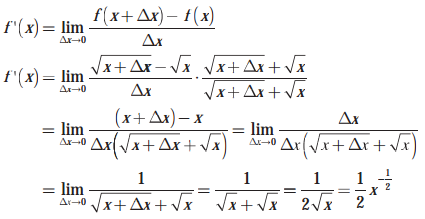
Misalkan, fungsi f(x) = x1/2, maka turunan fungsi f(x) adalah
Dari uraian tersebut dapatkah sobat pintar menduga bentuk umum turunan fungsi f(x) = axn?
Cobalah nyatakan bentuk tersebut dengan kata-kata sobat sendiri. Konsep turunan fungsi f(x) = axn yang telah sobat pelajari tersebut memperjelas kesimpulan berikut :
Contoh
Tentukan Turunan Fungsi-fungsi Berikut !
a.
b.
Jawab :
a.
b.
Yuk, lanjut ke materi berikutnya...
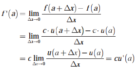
Turunan Fungsi Berbentuk y = u + v
Diketahui, fungsi y = f(x) dengan f(x) = u(x) + v(x), dalam hal ini u(x) dan v(x) fungsi yang dapat diturunkan di x = a untuk a bilangan real. Dengan demikian,
Dari uraian tersebut, dapatkah sobat pintar menduga bentuk umum turunan fungsi y = u v ?
Cobalah nyatakan bentuk tersebut dengan kata-kata sobat sendiri. Konsep turunan fungsi y = u
v yang telah sobat pelajari tersebut memperjelas kesimpulan berikut :
Contoh
Tentukan turunan fungsi berikut !
a. f (x) = x3 – 3x2
b.
Jawab :
a. f(x) = x3 – 3x2 maka f '(x) = 3x2 – 6x
b. 3 -
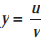
Turunan Fungsi y = c.u
Jika diketahui, fungsi y = f(x) dengan f(x) = c . u(x), dalam hal ini c konstanta dan u(x) fungsi yang dapat diturunkan di x = a untuk a bilangan real sehingga ,
Misalkan, a adalah sebarang bilangan real sehingga untuk y = f(a) = c . u(a) berlaku f '(a) = c . u'(a). Akibatnya, dari y = cu berlaku y' = c . u'
Contoh
Tentukan Turunan Fungsi Berikut !
a. f(x) = 3x2
b.
Jawab :
a. f(x) = 3x2 maka f '(x) = 6x
b.
Bagaimana sobat pintar.. masih semangat kan belajarnya,
yuk lanjut lagi!
Turunan Fungsi y = uv
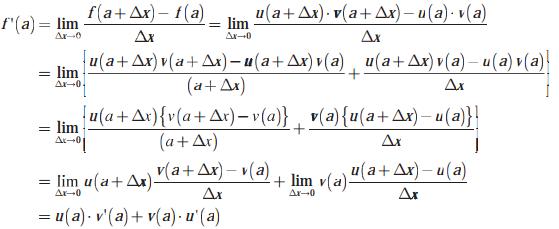
Diketahui, fungsi y = f(x) dengan f(x) = u(x) · v(x), dengan u(x) dan v(x) adalah fungsi yang dapat diturunkan di x = a, untuk a bilangan real. Oleh karena itu,

Oleh karena itu, jika y = f(x) = u(x) · v(x) dengan a bilangan real sebarang berlaku f '(a) = u(a) · v'(a) + v(a) · u'(a).
Sehingga,
Untuk y = u · v, maka y' = uv' + vu'.
Contoh
Tentukan turunan fungsi berikut !
a. f(x) = (5x2 – 1) (3x – 2)
Jawab :
a. f(x) = (5x2 – 1) (3x – 2)
Misalkan, u = 5x2 – 1 maka u' = 10x dan v = 3x – 2 maka v' = 3
sehingga
f '(x) = u (x) . v' (x) + v (x) . u' (x) = (5x2 – 1) . 3 + (3x – 2) . 10x
= 30x2 – 20x + 15x2 – 3 = 45x2 – 20x – 3
Turunan Fungsi y = u pangkat n
Diketahui y = f(u) dengan f(u) = un dan u = g(x). Jika fungsi u = g(x) dapat diturunkan di x = a, untuk a bilangan real maka
Oleh karena a bilangan real sebarang maka,
Dengan cara yang sama, dapatkah sobat pintar memperoleh ?
Untuk
x mendekati nol maka
u mendekati nol, sehingga
f(f u) = un, f '(u) = nun – 1 sehingga y'(x) = nun – 1 u'(x).
Jadi, disimpulkan bahwa Untuk y = un maka y' = nun – 1 u'(x).
Contoh
Tentukan Turunan Fungsi Berikut !
a. f(x) = (2 + 3x2)9
Jawab :
a. f(x) = (2 + 3x2)9
Misalkan, u = 2 + 3x2 maka u’(x) = 6x sehingga
f (x) = u9
f ‘(x) = 9u8 .u’(x) = 9(2 + 3x2)8.6x = 54x(2 + 3x2)8
Aturan Rantai
Coba sibat pintar perhatikan kembali uraian materi tentang fungsi y = un . Dari uraian tersebut, diperoleh bahwa untuk y = f(u) = un dengan u = g(x) maka turunannya y' = nun–1 u'(x). Hasil tersebut menggambarkan aturan rantai.
Amati contoh soal berikut
Contoh
Tentukan Turunan Fungsi
Jawab :

Ayo lanjut lagi ke materi berikutnya..,
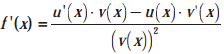
Turunan Fungsi y = u/v
Diketahui, fungsi y = f(x) dengan , dalam hal ini u(x) dan v(x) fungsi yang dapat diturunkan di x = a untuk a bilangan real maka,
Oleh karena itu, jika y = dengan a sebarang bilangan real sehingga berlaku
maka .
Kesimpulan :
Untuk , berlaku
Contoh
Tentukan Turunan Fungsi f(x) = tan x
Jawab :
f(x) = tan x =
Misalkan u = sin x maka u' = cos x dan v = cos x maka v' = – sin x.
= sec2x
Nah, bagaimana sobat pintar apakah sudah paham semua materi tentang cara menentukan turunan fungsi ?
Jika masih bingung bisa mengunakan fitur diskusi ya..,
Selamat balajar
Oops!!!
Yah, jawaban kamu meleset nih. Ingin melihat pembahasan soal ini?
BENAR!!!
Selamat!
Jawaban kamu benar. Ingin lihat pembahasan soal ini?
footer_v3
Bersama Aku Pintar temukan jurusan kuliah yang tepat
sesuai minat dan bakatmu.
Aku Pintar memiliki visi membuat pendidikan merata, mudah dijangkau, dan terjangkau dengan Program Journey Pintar yang merupakan sebuah program persiapan lengkap bagi siswa SMA/SMK/sederajat yang ingin masuk ke perguruan tinggi impiannya.
Kontak Kami
Grand Slipi Tower Lt. 42
Jl. S. Parman Kav 22-24
Jakarta Barat
© 2024 Aku Pintar. All Rights Reserved