Belajar Pintar Materi SMP, SMA, SMK
BelajarPintarV3
Matematika IPA
Vektor
MATERI
Penjumlahan dan Pengurangan pada Vektor
sebelum masuk pada bagian penambahan dan pengurangan vektor, yuk sobat pintar perhatikan penjelasan berikut.
Perhatikan titik-titik
pada koordinat Cartesius berikut ini

Pada gambar tersebut, vektor a, b, dan c dapat kalian tulis sebagai berikut.

Sekarang, jumlahkanlah vektor a dan b. Karena vektor merupakan matriks kolom, maka sobat pintar dapat menjumlahkan vektor a dan b dengan menggunakan aturan penjumlahan matriks. Dengan aturan ini, akan diperoleh

Perhatikan bahwa 
Uraian tersebut menunjukkan bahwa a +b = c. Secara geometris, penjumlahan antara vektor a dan b ini dapat kalian lakukan dengan dua cara, yaitu:
a. Cara segitiga
Dalam cara ini, titik pangkal vektor b berimpit ruas dengan titik ujung vektor a. Jumlah vektor a dan b didapat dengan menarik ruas garis dari titik pangkal vektor a ke titik ujung vektor b. Ruas garis ini diwakili oleh vektor c. Akibatnya, a +b = c.

b. Cara jajargenjang

Misalkan, vektor a mewakili ruas garis berarah dari titik pangkal A ke titik B dan vektor b mewakili ruas garis berarah dari titik pangkal C ke titik D. Dalam cara jajargenjang, titik pangkal vektor a berimpit dengan titik pangkal vektor b, yaitu A C. Dengan membuat jajargenjang ABED, akan diperoleh

Sekarang, jika vektor a dijumlahkan dengan invers vektor b, maka kalian mendapatkan penjumlahan vektor a + (-b) sebagai berikut.

Seperti pada bilangan real, kalian dapat menuliskan a + (-b) = a - b. Secara geometris, kalian dapat mengurangkan a dengan b sebagai berikut.


Perkalian Skalar dengan Vektor
Pada bagian sebelumnya, sobat pintar telah mempelajari penjumlahan vektor. Apa yang terjadi jika vektor-vektor yang dijumlahkan adalah k vektor yang sama? Dalam penjumlahan tersebut, sobat pintar akan mendapatkan sebuah vektor baru yang setiap komponen-komponennya diperoleh dengan mengalikan k dengan setiap komponen-komponen vektor u. Akibatnya, vektor baru tersebut segaris dengan vektor u dan memiliki panjang k|u|.
Dalam perkalian skalar dengan vektor ini, jika k > 0, maka vektor ku searah dengan vektor u. Adapun jika k < 0, maka vektor ku berlawanan arah dengan vektor u.

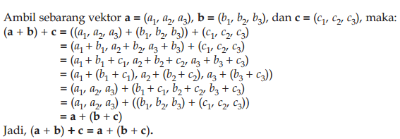
Sifat Operasi Hitung pada Vektor
Setelah kita belajar tentang operasi hitung pada vektor, yuk sobat pintar kita bahas sifat-sifat operasi hitung pada vektor. terdapar 4 sifat dalam operasi hitung vektor, selanjutnya mari kita lihat satu persatu
sifat 1

sifat 2

sifat 3

sifat 4

1. Diketahui vektor a = (1, 4, 5) dan b = (2, 3, 2), tentukan vektor c = 2a + 3b
A.
8, 17, 16
B. 17, 16, 8
C. 8, -1, 4
D. -4, 1, 16
E. 8, 17, -4
JAWABAN BENAR
A.
8, 17, 16
PEMBAHASAN
c = 2a + 3b = 2(1, 4, 5) + 3(2, 3, 2)
=(2 x 1, 2 x 4, 2 x 5) + (3 x 2, 3 x 3, 3 x 2)
=(2, 8, 10) + (6, 9, 6)
=(8, 17, 16)
Jadi, c = 2a + 3b = (8, 17, 16)
Oops!!!
Yah, jawaban kamu meleset nih. Ingin melihat pembahasan soal ini?
BENAR!!!
Selamat!
Jawaban kamu benar. Ingin lihat pembahasan soal ini?
footer_v3
Bersama Aku Pintar temukan jurusan kuliah yang tepat
sesuai minat dan bakatmu.
Aku Pintar memiliki visi membuat pendidikan merata, mudah dijangkau, dan terjangkau dengan Program Journey Pintar yang merupakan sebuah program persiapan lengkap bagi siswa SMA/SMK/sederajat yang ingin masuk ke perguruan tinggi impiannya.
Kontak Kami
Grand Slipi Tower Lt. 42
Jl. S. Parman Kav 22-24
Jakarta Barat
© 2024 Aku Pintar. All Rights Reserved