Belajar Pintar Materi SMP, SMA, SMK
BelajarPintarV3
Matematika
Himpunan
MATERI
Konsep Himpunan


Kumpulan Fauna

Kumpulan Flora
Hai Sobat Pintar, tahukah kalian bahwa di dalam kehidupan sehari-hari, kata himpunan ini disamakan dengan kumpulan, kelompok, grup, atau gerombolan? Nah, dalam biologi misalnya, kita mengenal kelompok flora dan kelompok fauna. Di dalamnya, masih ada lagi kelompok vertebrata, kelompok invertebrata, kelompok dikotil, dan kelompok monokotil.
Dalam kehidupan sehari-hari, kalian juga mengenal suku Jawa, suku Madura, suku Sasak, suku Dayak, suku Batak, dan lain-lain. Semua itu merupakan kelompok. Istilah kelompok, kumpulan, kelas, maupun gerombolan dalam matematika dikenal dengan istilah himpunan. Namun, tidak semua kumpulan termasuk himpunan.Contohnya kumpulan siswa yang pandai, kumpulan siswa yang berbadan tinggi. Mengapa demikian? Untuk menemukan jawabannya coba lakukan kegiatan berikut ini
Sobat Pintar berikut merupakan contoh kumpulan yang termasuk himpunan dan contoh kumpulan yang termasuk bukan himpunan:
Kumpulan yang termasuk himpunan
- Kumpulan siswa yang lahir pada bulan Agustus
- Kumpulan siswa laki-laki
- Kumpulan buah-buahan yang diawali dengan huruf M
- Kumpulan nama kota di Indonesia yang diawali dengan huruf S
- Kumpulan binatang yang berkaki dua
- Kumpulan negara di Asia Tenggara
Kumpulan yang termasuk bukan himpunan
- Kumpulan kota-kota besar di Indonesia
- Kumpulan orang kaya di Indonesia
- Kumpulan siswa yang pandai di sekolahmu
- Kumpulan gunung yang tinggi di Indonesia
- Kumpulan pelajaran yang disenangi siswa
- Kumpulan makanan yang lezat
Dari contoh diatas maka bisa diambil kesimpulan bahwa yang termasuk Himpunan adalah kumpulan yang bisa diukur dan definisikan sama oleh semua orang.
Penyajian Himpunan

Bagaimana dengan penjelasan sebelumnya tentang konsep himpunan? Sekarang kita lanjut memahami tentang penyajian himpunan.
Cara 1: Dinyatakan dengan menyebutkan anggotanya (enumerasi)
Suatu himpunan dapat dinyatakan dengan menyebutkan semua anggotanya yang dituliskan dalam kurung kurawal. Manakala banyak anggotanya sangat banyak, cara mendaftarkan ini biasanya dimodifikasi, yaitu diberi tanda tiga titik ("…") dengan pengertian “dan seterusnya mengikuti pola".
Cara 2: Dinyatakan dengan menuliskan sifat yang dimiliki anggotanya
Suatu himpunan dapat dinyatakan dengan menyebutkan sifat yang dimiliki anggotanya. Perhatikan himpunan pada Contoh 1 diatas dan bandingkan dengan contoh di bawah ini.
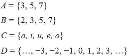
Contoh :
A adalah himpunan semua bilangan ganjil yang lebih dari 1 dan kurang dari 8.
B adalah himpunan semua bilangan prima yang kurang dari 10.
C adalah himpunan semua huruf vokal dalam abjad Latin.
D adalah himpunan bilangan bulat.
Sebelum kalian menyajikan himpunan dengan notasi pembentuk himpunan, sebaiknya kalian mengetahui dulu tentang himpunan bilangan dalam matematika sebagai berikut.
Cara 3: Dinyatakan dengan notasi pembentuk himpunan
Suatu himpunan dapat dinyatakan dengan menuliskan syarat keanggotaan himpunan tersebut. Notasi ini biasanya berbentuk umum adalah
Dimana x mewakili anggota dari himpunan, dan P(x) menyatakan syarat yang harus dipenuhi oleh x agar bisa menjadi anggota himpunan tersebut. Simbol x bisa diganti oleh variabel yang lain, seperti y, z, dan lain-lain. Misalnya : A = {1,2,3,4,5} Bisa dinyatakan dengan notasi pembentuk himpunan : {xIx<6, dan x elemen asli}
Lambang tersebut ini bisa dibaca sebagai "Himpunan x sedemikian sehingga x kurang dari 6 dan x adalah elemen bilangan asli). Tetapi, jika kita sudah memahami dengan baik, maka lambang ini biasanya cukup dibaca dengan "Himpunan bilangan asli kurang dari 6".
Himpunan Kosong dan Himpunan Semesta

Sobat Pintar dalam keanggotaan himpunan, ada himpunan ynag tidak memiliki anggota, yang dinamakan dengan himpunan kosong. Dalam rangka memahami konsep himpunan kosong, coba kalian amati masalah dan alternatif pemecahannya berikut ini.
Contoh 1 :
Empat orang siswa (Batara, Simon, Sudraja, dan Marsius) memiliki kesempatan sama untuk memenangkan suatu hadiah undian. Agar salah satu dari keempat siswa dipilih secara adil menjadi pemenang, maka panitia memberikan satu dari empat pertanyaan tentang himpunan yang tersedia dalam kotak undian. Keempat pertanyaan pada kotak undian itu adalah sebagai berikut
1. Menentukan himpunan bilangan cacah yang kurang dari 0;
2. Menentukan himpunan bilangan bulat yang lebih besar dari 0 dan kurang dari 1;
3. Menentukan himpunan bilangan ganjil yang habis dibagi 2;
4. Menentukan himpunan bilangan prima yang merupakan bilangan genap.
Pemenangnya adalah siswa yang dapat menemukan paling sedikit satu anggota himpunannya.
Setelah pengundian, Batara mendapatkan pertanyaan nomor 2, Simon mendapat pertanyaan nomor 3, Sudraja mendapat pertanyaan nomor 1, dan Marsius mendapat pertanyaan nomor 4. Siapakah siswa yang kemungkinan menjadi pemenang? Berikan alasanmu.
Penyelesaian :
Perhatikan keempat pertanyaan tersebut. Penyelesaian keempat pertanyaan ituadalah sebagai berikut.
1. Bilangan cacah yang kurang dari 0.
Ingat kembali bilangan cacah yang telah kalian pelajari waktu SD? Anggota bilangan cacah yang paling kecil adalah 0, sehingga himpunan yang diperoleh Sudraja adalah himpunan yang tidak memiliki anggota.
2. Bilangan bulat yang lebih dari 0 dan kurang dari 1.
Tidak ada satupun bilangan bulat antara 0 dan 1, sehingga himpunan yang diperoleh Batara adalah himpunan yang tidak memiliki anggota.
3. Bilangan ganjil yang habis dibagi 2.
Seluruh bilangan ganjil tidak akan habis dibagi dengan 2. Mengapa? Silakan bertanya kepada gurumu sehingga himpunan yang diperoleh Simon adalah himpunan yang tidak memiliki anggota.
4. Bilangan prima yang merupakan bilangan genap.
Anggota himpunan bilangan prima yang merupakan bilangan genap adalah 2. Dengan demikian, himpunan yang diperoleh Marsius adalah himpunan yang banyak anggotanya tepat satu, yaitu {2}.
Berdasarkan keterangan tersebut, yang dapat menentukan anggota himpunan tepat satu adalah Marsius. Dengan demikian Marsius terpilih menjadi pemenang. Sementara Sudraja, Batara, dan Simon tidak menemukan anggota himpunan atau disebut dengan himpunan kosong.
Contoh 2 :
Tentukan himpunan semesta yang mungkin dari A = {1, 3, 5, 7}
Penyelesaian :
Himpunan Semesta yang mungkin dari himpunan A adalah
Diagram Venn


Cara menyajikan himpunan juga bisa dinyatakan dengan gambar atau diagram yang disebut dengan Diagram Venn. Diagram Venn diperkenalkan oleh pakar matematika Inggris bernama John Venn (1834 – 1923). Petunjuk dalam membuat diagram Venn antara lain:
a. Himpunan semesta (S) digambarkan sebagai persegi panjang dan huruf S diletakkan di sudut kiri atas.
b. Setiap himpunan yang ada dalam himpunan semesta ditunjukkan oleh kurva tertutup sederhana.
c. Setiap anggota himpunan ditunjukkan dengan titik.
d. Bila anggota suatu himpunan mempunyai banyak anggota, maka anggotaanggotanya tidak perlu dituliskan.

Sobat Pintar mari kita amati penyajian diagram Venn dari contoh berikut
Contoh 1:
Diagram Venn dari himpunan S ={1, 2, 3, 4, 5, 6, 7, 8, 9}, himpunan A = {1, 2, 3} dan himpunan B ={ 4, 5, 6} adalah sebagai berikut.
Penyelesaian :
Contoh 2:
Diagram Venn dari himpunan S ={1, 2, 3, 4, 5, 6, 7, 8, 9}, himpunan A ={1, 2, 3, 4}, himpunan B ={ 4, 5, 6, 7} adalah sebagai berikut.
Penyelesaian :
Contoh 3:
Diagram Venn dari himpunan S ={1, 2, 3, 4, 5, 6, 7, 8, 9}, himpunan A={1, 2, 3}, himpunan B ={1, 2, 3, 4, 5, 6}
Penyelesaian :
Contoh 4:
Diagram Venn dari himpunan S ={1, 2, 3, 4, 5, 6, 7, 8, 9}, himpunan A={1, 2, 3, 4}, himpunan B ={ 1, 2, 3, 4} adalah sebagai berikut.
Penyelesaian :
1.
Kerjakanlah Soal berikut ini dengan benar!
Diagram Venn dari himpunan

A.


B.

C.

D.

JAWABAN BENAR
D.

PEMBAHASAN
Berikut diagram Venn-nya

2.
Kerjakanlah Soal berikut ini dengan benar!
Tuliskan himpunan-himpunan di bawah ini!
A adalah himpunan bilangan asli kurang dari 10
A. A = {0,1,2,3,4,5,6,7,8,9}
B. A = {0,1,2,3,4,5,6,7,8,9,10}
C. A = {1,2,3,4,5,6,7,8,9,10}
D. A = {1,2,3,4,5,6,7,8,9}
JAWABAN BENAR
D.
A = {1,2,3,4,5,6,7,8,9}
PEMBAHASAN
A adalah bilangan asli kurang dari 10 maka anggota himpunan tersebut dimulai dari 1 hingga 9 A = {1, 2, 3, 4, 5, 6, 7, 8, 9}
3.
Kerjakanlah Soal berikut ini dengan benar!
A = {2,4,6,8,10,12,14,16,18,20}
Jika Himpunan diatas dinyatakan dalam Notasi Pembentuk Himpunan, Maka Notasi Pembentuk Himpunannya adalah….
A. {x| x < 10 dan x elemen Bilangan Genap}
B. {x| x > 10 dan x elemen Bilangan Genap}
C. {x| 1 < x < 20 dan x elemen Bilangan Genap}
D. {x| x < 10 dan x elemen Bilangan Asli}
JAWABAN BENAR
C.
{x| 1 < x < 20 dan x elemen Bilangan Genap}
PEMBAHASAN
A adalah bilangan bulat antara 1 dan 20 maka Notasi Pembentuk himpunannya adalah {x| 1 < x < 20 dan x elemen Bilangan Genap}
4.
Kerjakanlah Soal berikut ini dengan benar!
Dari berbagai Himpunan berikut ini yang termasuk Himpunan Kosong adalah…………
A. Himpunan bilangan asli Kurang dari 10
B. Himpunan bilangan prima kurang dari 10
C. Himpunan bilangan ganjil kurang dari 20
D. Himpunan bilangan ganjil yang habis dibagi 2
JAWABAN BENAR
D.
Himpunan bilangan ganjil yang habis dibagi 2
PEMBAHASAN
Himpunan bilangan asli Kurang dari 10 bukan Himpunan kosong karena memiliki anggota yaitu {1,2,3,4,5,6,7,8,9}
Himpunan bilangan prima kurang dari 10 bukan Himpunan kosong karena memiliki anggota yaitu {2,3,5,7}
Himpunan bilangan ganjil kurang dari 20 bukan Himpunan kosong karena memiliki anggota yaitu {1,3,5,7,9,11,13,15,17,19}
Himpunan bilangan ganjil yang habis dibagi 2 adalah Himpunan kosong karena tidak ada bilangan ganjil yang bisa habis dibagi dua
Oops!!!
Yah, jawaban kamu meleset nih. Ingin melihat pembahasan soal ini?
BENAR!!!
Selamat!
Jawaban kamu benar. Ingin lihat pembahasan soal ini?
footer_v3
Bersama Aku Pintar temukan jurusan kuliah yang tepat
sesuai minat dan bakatmu.
Aku Pintar memiliki visi membuat pendidikan merata, mudah dijangkau, dan terjangkau dengan Program Journey Pintar yang merupakan sebuah program persiapan lengkap bagi siswa SMA/SMK/sederajat yang ingin masuk ke perguruan tinggi impiannya.
Kontak Kami
Grand Slipi Tower Lt. 42
Jl. S. Parman Kav 22-24
Jakarta Barat
© 2024 Aku Pintar. All Rights Reserved