Belajar Pintar Materi SMP, SMA, SMK
BelajarPintarV3
Sisa Waktu
30
:00
Menit
Detik
Daftar Soal
-
Kategori soal:
1Soal Nomor 1
Belum dikerjakan
-
Kategori soal:
2Soal Nomor 2
Belum dikerjakan
-
Kategori soal:
3Soal Nomor 3
Belum dikerjakan
-
Kategori soal:
4Soal Nomor 4
Belum dikerjakan
-
Kategori soal:
5Soal Nomor 5
Belum dikerjakan
-
Kategori soal:
6Soal Nomor 6
Belum dikerjakan
-
Kategori soal:
7Soal Nomor 7
Belum dikerjakan
-
Kategori soal:
8Soal Nomor 8
Belum dikerjakan
-
Kategori soal:
9Soal Nomor 9
Belum dikerjakan
-
Kategori soal:
10Soal Nomor 10
Belum dikerjakan
-
Kategori soal:
11Soal Nomor 11
Belum dikerjakan
-
Kategori soal:
12Soal Nomor 12
Belum dikerjakan
-
Kategori soal:
13Soal Nomor 13
Belum dikerjakan
-
Kategori soal:
14Soal Nomor 14
Belum dikerjakan
-
Kategori soal:
15Soal Nomor 15
Belum dikerjakan
Pertanyaan 1 DARI
1.
Jawablah soal berikut!

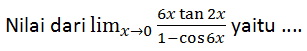
2.
Jawablah soal berikut!

- 1/3
- 2/3
- 1
- 2
- 3
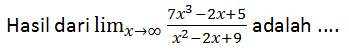
3.
Jawablah soal berikut!

- 2
- 1
- 1/4
- -1/4
- -2
4.
Jawablah soal berikut!

- 2
- 1
- 0
- -1
- -2
5.
Jawablah soal berikut!

- 1
- 1/2
- 1/4
- 0
- -1
6.
Jawablah soal berikut!

7.
Jawablah soal berikut!

- 8
- 4
- 2
- 1
- 0
8.
Jawablah soal berikut!

9.
Jawablah soal berikut!

10.
Jawablah soal berikut!

11.
Jawablah soal berikut!

12.
Jawablah soal berikut!

13.
Jawablah soal berikut!

- -1
- -1/2
- 0
- 1/2
- 1
14.
Jawablah soal berikut!

- 1/6
- 2/6
- 3/6
- 4/6
- 5/6
15.
Jawablah soal berikut!
Seorang ilmuwan sedang meneliti suatu senyawa. Senyawa ini merupakan hasil reaksi kimia dari beberapa senyawa. Setelah diteliti ternyata jumlah senyawa baru yang terbentuk mengikuti fungsi f(t) = 40 + t sin 30/t , dengan f(t) menyatakan jumlah senyawa dalam milligram dan t waktu dalam detik. Jumlah senyawa yang terbentuk untuk jangka waktu yang sangat lama adalah….
-
Bersama Aku Pintar temukan jurusan kuliah yang tepat
sesuai minat dan bakatmu.Aku Pintar memiliki visi membuat pendidikan merata, mudah dijangkau, dan terjangkau dengan Program Journey Pintar yang merupakan sebuah program persiapan lengkap bagi siswa SMA/SMK/sederajat yang ingin masuk ke perguruan tinggi impiannya.
Kontak Kami
Grand Slipi Tower Lt. 42
Jl. S. Parman Kav 22-24
Jakarta Barat© 2024 Aku Pintar. All Rights Reserved


































