LOGARITMA KELAS X : SEJARAH, PENGERTIAN, SIFAT-SIFAT, DAN PENERAPANNYA
APSiswaNavbarV2
Tesssss Tesssss
CssBlog
redesain-navbar Portlet
metablog-web Portlet
Blog
Photo by getty images on unsplash.com
Sobat Pintar sudah pernah belajar tentang eksponensial atau perpangkatan belum? Menurut Sobat Pintar apa sih eksponensial atau perpangkatan itu?
Konsep eksponensial atau perpangkatan akan digunakan dalam mempelajari materi logaritma yang akan kita bahas sekarang. Konsep logaritma yang kita bahas mencangkup sejarah logaritma, sifat-sifat logaritma, persamaan logaritma, serta penerapannya dalam kehidupan sehari-hari.
Logaritma mungkin terdengar sulit ya, Sobat Pintar. Tapi tenang saja, Sobat, karena sebenarnya logaritma ini sangat mudah dipahami karena penerapannya sangat dekat dengan kehidupan sehari-hari lho!
Perlu Sobat Pintar ingat kalau banyak membaca dan berlatih menjawab soal akan membuat kita semakin cepat memahami materi yang kalian sedang pelajari. Jadi, siapa nih yang sudah tidak sabar buat belajar logaritma? Yuk, simak dulu penjelasannya dibawah ini! Â
Sebelum kita mempelajari lebih jauh mengenai logaritma, apakah Sobat Pintar tau sejarah logaritma dan perkembangannya?
Jika kita amati dari awal mulanya logaritma berasal dari kata algoritma dengan sejarah yang cukup unik. Algorism berarti proses menghitung dengan angka Arab. Nah, dalam sejarahnya, jika seseorang menghitung menggunakan angka Arab maka dia disebut sebagai algorism, dan penemu algoritma adalah Abu Abdullah Muhammad Ibnu Musa al-khawarizmi.
Di negara barat sana beliau lebih dikenal dengan sebutan algorism. Panggilan inilah yang kemudian menjadi konsep dasar algoritma yang ditemukan Abu Abdullah Muhammad Ibnu Musa Al khawarizmi lahir pada tahun 770 dan wafat pada tahun 840 di Khwarizm. Yang merupakan kota di selatan sungai Oxus yang sekarang Usbekistan. Buku karya Muhammad Ibnu Musa Al khawarizmi yang digunakan di barat dengan judul Al-Jam Bi Hisab Al Hind, buku tersebut merupakan karya yang sangat sangat gemilang dari matematikawan muslim Muhammad Ibnu Musa Al Khawarizmi.
Sejarah kemudian berlanjut dimana seorang bernama John napier yang merupakan ahli matematika berkebangsaan Inggris lahir di Merchiston Student Castle Eidenburg. Napier pada usia 13 tahun menyelesaikan sekolahnya di Perancis dan kemudian dia meneruskan ke universitas di Scotland. Kemudian tepat di tahun 1612 masehi dia menemukan sebuah sistem yang diberi nama logaritma yang kita tahu bersama logaritma berasal dari nama Muhammad Ibnu khawriz. Dan sekarang temuannya itu lebih dikenal dengan nama logaritma Bapier (Napierian Logarithms).
Pada tahun 1014 John Napier menerbitkan buku tentang logaritma hal ini disambut dengan sangat antusias mereka para ilmuwan pada saat itu. John Napier kemudian meninggal pada tahun 1617 di usianya yang ke 67 tahun dia kemudian dimakamkan Eidenburg.
Sekarang, Sobat Pintar Sudah tau sejarah singkat mengenai logaritma. Lalu apa arti sebenarnya dari logaritma itu?
Secara umum, logaritma merupakan sebuah invers atau kebalikan dari pemangkatan (eksponen) yang dipakai dalam menentukan besar pangkat dari sebuah bilangan pokok. Pada intinya, dengan mempelajari logaritma maka kita dapat mencari besar pangkat dari sebuah bilangan yang diketahui hasil pangkatnya. Jika biasanya perpangkatan dinyatakan dengan :
maka dalam bentuk logaritma dapat dinyatakan dengan :
Â
Keterangan :
a = basis atau bilangan pokok logaritma
b = bilangan yang dicari nilai logaritmanya (numerus)
c = besar pangkat/nilai logaritma
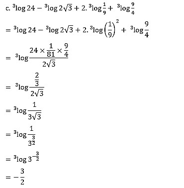
Simak beberapa contoh dibawah ini, yuk!
Photo by modulsmakemendikbud on kemendikbud.go.id
Dari tabel diatas kita dapat mengambil contoh lain diantaranya, dalam bentuk eksponen atau perpangkatan dapat dinyatakan dengan :
Bentuk eksponen atau perpangkatan tersebut dapat diubah menjadi bentuk logaritma menjadi sebagai berikut :
Beberapa hal yang kalian harus tau jika nilai a (bilangan basis/ utama logaritma) adalah 10, biasanya nilai 10 tersebut tidak dituliskan sehingga menjadi log b = c. Sebagai contoh jika maka dalam bentuk logaritma menjadi log 1000 = 3.
Jadi, Sobat Pintar sudah tau kan apa itu logaritma dan konsep dasarnya?
Setelah kita semua tahu pengertian dan konsep dasar logaritma, sekarang kita bahas sifat-sifat logaritma. Apa saja sih sifat-sifat dari logaritma ini? Yuk, simak penjelasan dibawah ini!
Dalam operasi hitung logaritma, berlaku sifat-sifat tertentu yang meliputi :
Sifat-sifat logaritma tersebut berguna untuk menyederhanakan bentuk logaritma pada persamaan logaritma atau pertidaksamaan logaritma.
Logaritma bukan hanya dihitung saja, Sobat. Namun banyak sekali penerapnnya di sekitar kita. Yuk, coba simak penjelasannya dibawah ini!
Apa saja sih penerapan logaritma dalam kehidupan sehari-hari?
Nah, sebenarnya penulis tidak menemukan penerapan logaritma dalam kehidupan sehari - hari secara langsung, tetapi kita dapat mendapatkan penerapan logaritma ini dalam kehidupan secara tidak langsung. Artinya, logaritma terlalu rumit untuk diterapkan dalam kehidupan sehari - hari. Logaritma dipakai oleh para peneliti dan sains untuk menyederhanakan bilangan berpangkat yang sangat banyak. Hasil penemuan dari peneliti dan sains ini berpengaruh dalam kehidupan kita, contoh penemuan komputer dan smartphone yang banyak menggunakan logaritma dalam pembuatan program mereka.
Sebelum ditemukan ilmu logaritma, sangat susah sekali bagi astronom untuk mengukur jarak antara bumi dengan bulan atau jarak antara satu bintang dengan bintang yang lainnya. Kenapa? Karena jarak di luar angkasa sangat jauh dan apabila dikalikan dengan bilangan berpangkat, hasilnya akan sangat banyak sekali. Sehingga dengan memanfaatkan logaritma akan memudahkan astronom dalam mengalikan dan menghitung jarak antara satu objek dengan objek lain yang mempunyai jarak yang sangat jauh.
Dalam ilmu biologi pun dipakai ilmu logaritma ini juga bisa dimanfaatkan. Contoh dalam menghitung pertumbuhan suatu tumbuhan membutuhkan waktu yang sangat lama, dengan menggunakan logaritma nilai dari pertumbuhan tumbuhan ini dapat diperhitungkan dengan lebih cepat.
Dalam ilmu sains dan teknik, logaritma diterapkan dalam membuat sebuah aplikasi kecerdasan buatan (artificial intelegent). Contoh dalam membuat suatu software sederhana diperlukan logaritma yang sesuai dengan kehidupan sehari - hari.
Itulah beberapa manfaat logaritma dalam kehidupan sehari - hari. Walaupun tidak berhubungan langsung dalam kehidupan pribadi, tetapi penerapan logaritma memberikan banyak kemajuan dalam mempermudah kehidupan sehari - hari.
Nah, Sobat, sejarah, materi dan contoh soal mengenai logaritma ternyata mudah, bukan? Selain materi logaritma, kalian juga bisa belajar tentang materi-materi lainnya melalui aplikasi Aku Pintar di fitur Belajar Pintar mata pelajaran Matematika. Sampai bertemu di pembahasan berikutnya, Sobat Pintar!
ArtikelTerkaitV3
Dari Bangku Kuliah ke Ruang Operasi: Begini Perjalanan Seru
Halo, Sobat Pintar! Punya mimpi jadi dokter? Atau sekadar penasaran dengan perjalanan panjang yang harus dilalui sebelum bisa memakai jas putih dan stetoskop? Yuk, simak cerita seru tentang perjalanan pendidikan dan karier menjadi dokter, mulai dari kulia...
Baca Selengkapnya
4 Bulan Menuju SNBT-UTBK 2026: Strategi Belajar Kilat yang B
Hai, Sobat Pintar! Ujian SNBT-UTBK 2026 sudah di depan mata, dan kamu hanya punya waktu sekitar 4 bulan untuk mempersiapkannya. Jangan panik! Dengan strategi yang tepat, waktu 4 bulan ini bisa kamu manfaatkan sebaik mungkin untuk meraih nilai tinggi. Yuk,...
Resolusi 2026: Rahasia Sukses Siswa Pintar untuk Gapai Targe
Hai, Sobat Pintar! Sudah punya rencana buat tahun 2026? Jangan cuma jadi penonton, yuk jadi pemain utama di hidupmu dengan menyusun resolusi yang smart! Buat kamu yang masih duduk di bangku sekolah, ini saatnya mempersiapkan diri untuk kuliah dan karir im...
Hai Sobat Pintar,
Yuk Cobain Aplikasi Aku Pintar Sekarang Juga!
Jutaan siswa sudah menemukan minat, bakat dan kampus impian bersama Aku Pintar. Sekarang giliran kamu Sobat!
BannerPromoBlog