Momen Inersia dan Soal Pembahasan
APSiswaNavbarV2
Tesssss Tesssss
CssBlog
redesain-navbar Portlet
metablog-web Portlet
Blog
Picture by Elizabeth Villalta on Unsplash
Hai Sobat, pernahkah kalian naik permainan swing ride? Kira-kira bagaimana bisa kita bisa berputar dengan seimbang? Atau kalian pernah bermain gasing? Kenapa juga gasing bisa berputar dengan poros yang sangat kecil?. Yuk, kita simak pembahasannya!
Momen Inersia merupakan kecenderungan benda untuk mempertahankan keadaan gerak rotasinya. Semakin jauh posisi massa benda ke pusat rotasinya semakin besar momen inersia benda tersebut.
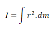
Momen inersia yang dilambangkan dengan I dari sebuah partikel yang memiliki massa m terhadap poros dengan jarak sejauh r dari massa, diartikan sebagai hasil kali massa suatu partikel terhadap kuadrat jarak dari titik poros. Secara matematika, rumus umum momen inersia pada partikel dapat dituliskan sebagai berikut:
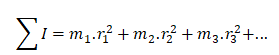
Saat partikel berjumlah banyak dengan massa (m1, m2, m3, ...) dan jarak (r1, r2, r3, ...) yang berbeda-beda terhadap poros, maka momen inersianya adalah jumlah total dari momen inersia masing-masing partikel.
Momen inersia untuk massa yang memiliki sebaran partikel yang kontinu (benda).
Keterangan:
I= momen Inersia (kg.m2)
r= jarak (m)
Â
Berikut ini adalah beberapa rumus momen inersia pada benda tegar dengan berbagai bentuk yang biasa ditemui:
Supaya lebih paham mengenai materi momen inersia, Perhatikan contoh soal berikut ini:
1. Tiga bola identik terpasang pada tali ringan kemudian terhubung pada batang yang sama dan berputar, seperti tampak pada gambar. Urutan inersia bola dari yang terbesar ke terkecil adalah ....
Pembahasan:
Dari ketiga bola terlihat bahwa memiliki massa yang sama tetapi jarak yang berbeda, dari rumus momen inersia diketahui bahwa:
Momen inersia berbanding lurus terhadap jarak dan massa sehingga semakin besar jarak semakin besar momen inersia. Urutan inersia bola dari yang terbesar ke terkecil adalah bola 3, 2, 1.
2. Sebuah batang besi homogen bermassa 4 kg dan panjangnya 0,25 m. Jika sumbu pusatnya terletak pada titik tengah dan tegak lurus batang, momen inersia besi adalah ....
Diketahui:
m= 4 kg
l= 0,25 m
ditanya:
I....?
Jawab:
Batang dengan poros di tengah:
sehingga nilai momen inersianya adalah 1/48 kg.m2
ArtikelTerkaitV3
5 Destinasi Healing Terbaik untuk Siswa Setelah Ujian, Bikin
Hai, Sobat Pintar! Sudah lelah dengan segudang ujian yang bikin kepala pusing? Tenang, kamu berhak untuk healing sejenak sebelum melanjutkan perjalanan akademismu. Nah, kali ini Aku Pintar kasih rekomendasi destinasi healing terbaik buat kamu yang baru sa...
Baca Selengkapnya
Mobil Hidrogen: Solusi Transportasi Ramah Lingkungan Masa De
Hai, Sobat Pintar! Pernah dengar tentang mobil hidrogen? Kalau belum, kamu wajib banget baca artikel ini sampai habis. Mobil hidrogen adalah salah satu inovasi terbesar di dunia otomotif yang bisa jadi solusi transportasi ramah lingkungan di masa depan. Y...
10 PTN dengan Penerima Mahasiswa Terbanyak di SNBP 2025 – Ma
Sobat Pintar, sudah tahu belum daftar PTN favorit dengan kuota SNBP terbanyak tahun 2025? Buat kalian yang sedang mempersiapkan diri untuk masuk perguruan tinggi negeri, informasi ini bisa jadi acuan penting! Dari ratusan ribu kursi yang tersedia, beberap...
Hai Sobat Pintar,
Yuk Cobain Aplikasi Aku Pintar Sekarang Juga!
Jutaan siswa sudah menemukan minat, bakat dan kampus impian bersama Aku Pintar. Sekarang giliran kamu Sobat!
BannerPromoBlog