Persamaan Kuadrat : Pengertian Persamaan Kuadrat, Akar-akar Persamaan, Rumus, serta Penerapannya
APSiswaNavbarV2
Tesssss Tesssss
CssBlog
redesain-navbar Portlet
metablog-web Portlet
Blog
Photo by Monstera from Pexels
Halo, Sobat Pintar! Sobat Pintar sebelumnya sudah pernah belajar tentang persamaan kuadrat atau sistem persamaan kuadrat belum? Hmm, apa itu ya? Apa bedanya? Langsung simak, yuk!
Nah, Persamaan kuadrat adalah sebuah persamaan polinomial (suku banyak) yang pangkat tertingginya 2 atau berorde 2. Salah satu contoh persamaan kuadrat seperti ini:
Berbeda lagi dengan persamaan linear, Sobat!
Pada persamaan linear pangkat tertingginya 1 (satu), sedangkan pada persamaan di atas pangkat tertingginya adalah 2 (dua), maka disebut persamaan kuadrat.
Lalu sistem persamaan kuadrat itu apa ya, Sobat?
Yup, Benar! Sistem berarti tidak hanya terdiri dari satu persamaan saja, sehingga sistem persamaan kuadrat adalah kumpulan dari beberapa persamaan kuadrat. Pada materi kali ini kita hanya akan membahas persamaan kuadrat saja, Sobat.
Oh iya, Sobat Pintar harus ingat kalau banyak membaca dan berlatih menjawab soal akan membuat kita semakin cepat memahami materi yang sedang kalian pelajari. Jadi, siapa nih yang sudah tidak sabar buat belajar persamaan kuadrat?
Yuk, simak dulu penjelasannya dibawah ini!
Berikut ini bentuk umum dari persamaan kuadrat:
untuk
a adalah koefisien dari x2 dan
b adalah koefisien dari x
c adalah konstanta
x adalah variabel yang nilainya belum diketahui dan memenuhi persamaan kuadrat di atas.
Berikut adalah contoh-contoh persamaan
setelah mengetahui bentuk-bentuk dari persamaan kuadrat, selanjutnya kita belajar bagaimana cara menyusun persamaan kuadrat!
Yuk, kita simak!
Untuk menyusun persamaan kuadrat bisa dilihat dari beberapa kondisinya, kali ini kita bahas 2 kondisi, yaitu:
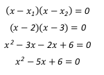
Misalkan akar-akar dari persamaan kuadrat adalah . Untuk mendapatkan persamaan kuadratnya, Sobat bisa mensubstitusi akar-akar tersebut ke persamaan berikut:
Sobat Pintar tahu tidak, kenapa harus disubstitusi ke persamaan di atas?
Sobat masih ingat tidak, kalau ingin mendapatkan akar-akar dari persamaan kuadrat, salah satu caranya adalah dengan memfaktorkan persamaan kuadrat tersebut. Nah, bentuk persamaan adalah hasil dari pemfaktoran persamaan kuadrat. Lebih jelasnya lanjut ke contoh, yuk!
Contoh soal
Tentukan persamaan kuadrat yang akar-akarnya 2 dan 3!
Pembahasan
Jadi, persamaan kuadrat yang akar-akarnya 2 dan 3 adalah
Gimana Sobat? Mudah banget, bukan? Eits.. belum selesai. Kita lanjut pada kondisi kedua atau metode kedua!
Kita misalkan akar-akar persamaan kuadrat adalah . Jika yang diketahui pada soal hanya jumlah dan hasil kali akar-akarnya, maka untuk mendapatkan persamaan kuadratnya, Sobat Pintar bisa menggunakan rumus berikut ini :
Nah, sebenarnya bentuk persamaan merupakan hasil kali silang dari persamaan , yang kita gunakan untuk mencari persamaan kuadrat di metode sebelumnya. Untuk lebih mudahnya, yuk simak contoh soal berikut!
Tentukan persamaan kuadrat yang akar-akarnya adalah , jika diketahui jumlah dan hasil kali akarnya berturut-turut adalah 7 dan 12!
Penyelesaian
Solusi yang digunakan untuk menentukan nilai yang memenuhi persamaan kuadrat didapatkan saat hasil dari substitusi sama dengan nol dan biasa disebut dengan akar-akar persamaan. Biasanya ada 2 akar-akar dari persamaan kuadrat yang didapatkan. Ada 3 cara untuk menentukan akar-akar persamaan kuadrat, yaitu:
Faktorisasi adalah mengubah penjumlahan suku-suku aljabar menjadi bentuk perkalian. Metode ini digunakan dengan mengubah bentuk persamaan kuadrat.
Supaya lebih mudah mengerti, yuk langsung ke contoh soal!
Contoh Soal
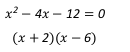
Akar-akar persamaan kuadrat adalah ....
Dapat diselesaikan dengan cara memfaktorkan
x = -2 atau x = 6
Sehingga, kita dapat akar-akarnya -2 dan 6.
Bagaimana? Mudah bukan, Sobat.
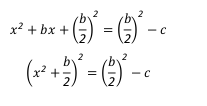
Melengkapkan kuadrat sempurna adalah metode dengan mengubah bentuk umum ke dalam bentuk kuadrat sempurna seperti:
Metode ini mengubah bentuk menjadi bentuk
Tentukan himpunan penyelesaian dari dengan melengkapkan kuadrat sempurna!
sehingga, Hp = {5, -1}
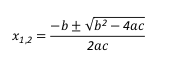
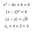
Metode ini memanfaatkan nilai (a, b) dan (c) dari suatu persamaan kuadrat untuk mendapatkan akar-akar . Nilai x1 dan x2 dapat dicari dengan menggunakan rumus berikut
Tentukan himpunan penyelesaian dari
Lalu, bagaimana ya penerapan persamaan kuadrat dalam kehidupan sehari-hari? Yuk kita bahas!
Photo by Ben Mack from Pexels
Salah satu ciptaan Tuan yang sangat menakjubkan adalah pelangi. Pelangi yang merupakan lengkungan cahaya warna-warni yang tampak setelah hujan ini sangatlah indah.
Photo by wikihow.com
Jika Sobat suka menonton pertandingan dan bermain sepak bola, Sobat tidak bisa lepas dari gerakan menendang bola panjang dengan arah melengkung atau parabola. Nah, Gerakan ini juga merupakan penerapan persamaan kuadrat lohh
Nah, bagaimana, Sobat? Menarik bukan belajar Persamaan Kuadrat? Pasti dong! Selain materi Persamaan Kuadrat, kalian juga bisa belajar tentang materi-materi lainnya melalui aplikasi Aku Pintar di fitur Belajar Pintar mata pelajaran Matematika. Sampai bertemu di pembahasan berikutnya, Sobat Pintar!
Writer: Cahyu Guswita
Editor: Sophia Maulidatul Adha
ArtikelTerkaitV3
Mitos & Fakta Jurusan Hukum: Benarkah Hanya untuk Calon Peng
Sobat Pintar, pernah dengar anggapan bahwa Jurusan Hukum hanya cocok untuk mereka yang suka berdebat atau ingin jadi pengacara? Atau mungkin kamu berpikir bahwa lulusan Hukum pasti akan jadi hakim atau jaksa? Nah, sebelum kamu terjebak dalam mitos-mitos i...
Baca Selengkapnya
Mitos vs Fakta Jurusan Kedokteran: Benarkah Hanya untuk Oran
Jurusan Kedokteran selalu menjadi salah satu program studi paling populer dan bergengsi di Indonesia. Namun, banyak mitos yang beredar seputar jurusan ini, mulai dari anggapan bahwa hanya orang kaya yang bisa masuk hingga rumor mistis tentang praktikum ma...
QRIS: Kebanggaan Indonesia yang Bikin Amerika Ketar-Ketir! I
Sobat Pintar, pernah nggak sih kamu bayangkan kalau teknologi pembayaran digital buatan Indonesia bisa bikin negara adidaya seperti Amerika Serikat ketar-ketir? Yap, itu bukan mimpi! QRIS (Quick Response Code Indonesian Standard) adalah sistem pembayaran ...
Hai Sobat Pintar,
Yuk Cobain Aplikasi Aku Pintar Sekarang Juga!
Jutaan siswa sudah menemukan minat, bakat dan kampus impian bersama Aku Pintar. Sekarang giliran kamu Sobat!
BannerPromoBlog