Stoikiometri Larutan: Pengerian, Rumus, Macam-macam, Reaksi-reaksi, dan Contoh Soal
APSiswaNavbarV2
Tesssss Tesssss
CssBlog
redesain-navbar Portlet
metablog-web Portlet
Blog
Foto oleh Kindel Media: https://www.pexels.com/id-id/foto/wanita-berambut-pirang-penuh-warna-wajah-8325969/
Hai Sobat Pintar!,
Kali ini kita akan bahas tentang materi kimia yang ada di kelas 10 nih Sobat, yaitu tentang stoikiometri larutan. Dalam stoikiometri kita bisa tau nih gimana mekanisme dalam suatu reaksi kimia yang terjadi khususnya pada larutan. Kita mulai bahas yaa, siapin alat tulis kalian…
Stoikiometri adalah berasal dari kata “stoicheion” dalam bahasa Yunani yang berarti mengukur. Dalam ilmu kimia, stoikiometri adalah ilmu yang mempelajari kuantitas suatu zat dalam reaksi kimia. Zat-zat tersebut meliputi massa, jumlah mol, volume, dan jumlah partikel. Tak hanya itu, stoikiometri juga diartikan sebagai perhitungan kimia yang menyangkut hubungan kuantitatif zat yang terlibat dalam reaksi.
Suatu reaksi kimia dapat dikatakan sebagai reaksi stoikiometri apabila reaktan dalam reaksi habis seluruhnya. Adapun rumus-rumus yang biasa digunakan dalam menyelesaikan materi Kimia Stoikiometri adalah sebagai berikut:
Angka 22,4 L merupakan volume gas ideal dalam keadaan STP (Standard Temperature and Pressure), dengan tekanan gas (P) = 1 atm, dan suhu (T) = 273 K. Sementara angka 6,02 x 10^23 merupakan besaran tetapan Avogadro. Jadi, 1 mol zat apa pun memiliki jumlah partikel yang sama yaitu sebanyak 6,02 x 10^23 partikel.
Â
Ada beberapa hukum dasar kimia yang digunakan untuk stoikiometri, yaitu hukum kekekalan massa, hukum perbandingan tetap, hukum perbandingan berganda, hukum Boyle, hukum Gay Lussac, dan Hipotesis Avogadro. Mari kita bahas satu per satu hukum dasar kimia tersebut.
Hukum ini menyatakan massa total suatu bahan sesudah reaksi kimia sama dengan massa total bahan sebelum reaksi. Contohnya, massa kayu yang belum dibakar memiliki massa yang sama dengan hasil pembakarannya.
Hukum yang dicetuskan oleh Joseph Proust pada tahun 1799 ini menyatakan perbandingan massa unsur-unsur penyusun suatu senyawa selalu tetap. Contohnya, perbandingan massa Hidrogen dan Oksigen dalam air adalah 1:8, tidak bergantung pada jumlah air yang dianalisis.
Hukum perbandingan berganda yang dikemukakan oleh John Dalton pada tahun 1803 yaitu apabila ada dua unsur yang dapat membentuk lebih dari satu senyawa, perbandingan massa unsur yang satu, yang bersenyawa dengan unsur lain yang tertentu massanya adalah bilangan bulat dan sederhana. Contohnya, jika Hidrogen yang bereaksi masing-masing 1 gram, H2O (air) yang terbentuk akan mengandung 4 gram oksigen, dan 8 gram pada H2O2 (Hidrogen Peroksida).
Hukum Gay Lussac atau yang dikenal juga dengan Hukum Perbandingan Volume dicetuskan oleh ilmuwan asal Prancis, yaitu Joseph Gay Lussac. Berdasarkan penelitiannya, Lussac mengambil kesimpulan bahwa perubahan volume gas dipengaruhi oleh suhu dan tekanan. Contohnya, pada suhu dan tekanan tertentu, 1 liter gas Nitrogen bisa bereaksi dengan 3 liter gas Hidrogen, hingga menghasilkan 2 liter gas amonia (2NH3).
Hipotesis Avogadro ini melengkapi hukum dasar kimia yang digunakan untuk stoikiometri. Seorang ilmuwan asal Italia, Amadeo Avogadro menyatakan bahwa partikel unsur tidak selalu berupa atom yang berdiri sendiri, melainkan bisa berbentuk molekul unsur. Contohnya, H2, O2, N2, dan P4.
Stoikiometri larutan adalah perhitungan kimia untuk reaksi yang berlangsung dalam larutan.
Kemolaran zat dalam larutan menyatakan jumlah zat (mol) dalam larutann yang ditempatinya (1L). Satuan kemolaran adalah mol/L atau M.
Membuat Larutan Kemolaran dengan Kemolaran Tertentu ada dua macam, yaitu: 1. Melarutkan zat padat Massa zat terlarut yang harus di tambahkan untuk memperoleh larutan dengan kemolaran M, dapat ditentukan dengan rumus berikut:
Keterangan: M = kemolaran (mol/L) n = mol yang di hasilkan (mol) V = volum labu ukur (L)
2. Mengencerkan larutan pekat Pada proses engenceran, jumlah zat terlarut dalam larutan tidak berubah.Volum larutan pekat yang dibutuhkan untuk membuat larutan dengan kemolaran M dapat di hitung sebagai berikut:
Mol zat sebelum pengenceran = mol zat sesudah massa pengenceran Oleh karena atau n = M x V maka diperoleh
Keterangan: M = kemolaran larutan sebelum dan sesudah pengenceran V = volum larutan sebelum dan sesudah pengenceran
Reaksi Kimia Dalam Larutan Elektrolit melibatkan zat elektrolit,yakni asam, basa,dan garam. Reaksi dapat berlangsung apabila setidaknya salah satu produknya berupa air, endapan, gas atau elektrolit lemah. Reaksi kimia dalam larutan elektrolit selalumempunyai reaksi ion bersih.
Ada tiga jenis reaksi kimia dalam larutan elektrolit, yaitu:
1. Reaksi penetralan asam dan basa Reaksi penetralan dalam larutan adalah reaksi antara asam dan basa membentuk yang bersifat netral.
Jenis reaksi: - ASAM + BASA --> GARAM + AIR - ASAM + OKSIDA --> BASA GARAM + AIR - ASAM + AMONIA --> GARAM - OKSIDA ASAM + BASA --> GARAM + AIR
2. Reaksi pendesakan logam Reaksi pendesakan logam adalah reaksi di mana logam lain atau hidrogen dalam suatu senyawa.
A + BC --> AC + B A di kiri B Deret Volta
Reaksi terjadi jika logam di kiri/H yang di desak pada deret volta Li-K-Ba-Ca-Na-Mg-Al-Zn-Cr-Fe-Cd-Co-Ni-Sn-Pb-(H)-Cu-Hg-Ag-Pt-Au
Jenis reaksi: - LOGAM 1 + GARAM 1 --> GARAM 2 + LOGAM 2 - LOGAM + ASAM --> GARAM + GAS HIDROGEN - LOGAM + ASAM --> GARAM + AIR + GAS
3. reaksi metatesis (pertukaran pasangan) Reaksi metatesis (pertukaran pasangan) adalah reaksi pertukaran pasangan ion dari dua elektrolit. Melibatkan pertukaran pasangan ion dari dua elektrolit.
AB + CD --> AD + CB
Jenis reaksi: - GARAM 1 + ASAM 1 --> GARAM 2 + ASAM 2 - GARAM 1 + BASA 1 --> GARAM 2 + BASA 2 - GARAM 1 + GARAM 2 --> GARAM 3 + GARAM 4
Aturan Penulisan Reaksi Ion Bersih 1) Tulis reaksi ionnya a. Zat berupa elektrolit kuat dinyatakan oleh ion-ionnya b. Zat berupa elektrolit lemah dinyatakan oleh rumus kimianya. c. Zat berupa gas dan padatan (logam, endapan) dinyatakan oleh rumus kimianya
2) reaksi ion bersih diperoleh dengan menghilangkan ion-ion penonton.
Konsep kemolaran dan berbagai jenis reaksi kimia dalam larutan elektrolit, dapat digunakan pada perhitungan reaksi kimia dalam larutan.
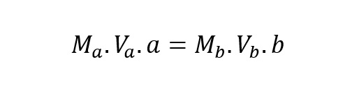
Titrasi asam basa merupakan prosedur penting dalam analisis kimia untuk menentukan konsentrasi/kemolaran larutan asam/basa. Hal ini dilakukan demgan meneteskan larutan standar asam/basa yang kemolarannya sudah diketahui kedalam larutan asam/basa yang ke,olarannya akan ditentukan, menggunakan buret. Penambahan larutan standar dilakukan sampai mencapai titik ekovalen, yakni titik di mana asam dan basa habis bereaksi. Titik ekivalen dapat ditentukan menggunakan indikator yang harus berubah warna di sekitar titik tersebut. Titik di mana perubahan warnaindikator terjadi disebut titik akhir titrasi. Indiktor yang digunakan dalam titrasi adalah metil merah, bromotimol biru, dan fenolftalein.
Perhitungan Konsentrasi: - Tulis persamaan reaksi antara larutan asam A dan larutan basa B aA + Bb --> cC + dD + ... - Nyatakan rumus untuk menghitung mol A dan mol B yang bereaksi
- Dari persamaan reaksi A dan B, perbandingan mol A dan mol B agar habis bereaksi = a : b. Jadi diperoleh:
Keterangan: M = kemolaran asam A dan basa B V = volum asam A dan basa B a , b = koefisien reaksi asam A dan basa B
Perhatikan, rumus ini juga dapat digunakan untuk menentukan konsentrasi suatu larutan basa dengan menggunakan suaru larutan standar asam.
Jenis titrasi ada 4 macam, yaitu: 1. Titrasi asam kuat dan basa kuat 2. Titrasi asam lemah dan basa kuat 3. Titrasi basa lemah dan asam kuat 4. Tirasi asam lemah dan basa lemah
Gas amoniak dapat dihasilkan melalui persamaan reaksi berikut:
(NH4)2SO4 + 2KOH --> 2NH3 + 2H2O + K2SO4
Reaksi berlangsung pada 0 C, 1 atm. Volume gas amoniak, NH3, yang dihasilkan setelah 33 gram (NH4)2SO4 (Mr = 132) bereaksi adalah ….
A. 2,8 liter B. 5,6 liter C. 11,2 liter D. 12,0 liter E. 22,4 liter
Pembahasan Karena diketahui massa (NH4)2SO4, kita tentukan dulu nilai mol dari amonium sulfat tersebut.
mol (NH4)2SO4 = gr/Mr = 33/132 mol = 0,25 mol
Selanjutnya kita tentukan mol NH3 dengan memanfaatkan kesetaraan antara koefisien dan mol.
mol NH3 = 2/1 x mol (NH4)2SO4 = 2 x 0,25 mol = 0,5 mol
Reaksi berlangsung pada 0 C, 1 atm, berarti berlangsung pada keadaan STP (standard temperature and pressure), volume yang digunakan adalah volume STP, yaitu 22,4 liter.
volume NH3 = mol x volume STP = 0,5 x 22,4 liter = 11,2 liter
Jadi, volume gas amoniak yang dihasilkan adalah 11,2 liter (C).
Sobat Pintar jangan lupa download aplikasi Aku Pintar di Play Store atau App Store, ya! Ada fitur Belajar Pintar yang bakal nemenin Sobat belajar di rumah. Simak juga artikel-artikel lainnya, yaa!
Writer: Muhammad Fahmi Ridlo
ArtikelTerkaitV3
Mitos & Fakta Jurusan Hukum: Benarkah Hanya untuk Calon Peng
Sobat Pintar, pernah dengar anggapan bahwa Jurusan Hukum hanya cocok untuk mereka yang suka berdebat atau ingin jadi pengacara? Atau mungkin kamu berpikir bahwa lulusan Hukum pasti akan jadi hakim atau jaksa? Nah, sebelum kamu terjebak dalam mitos-mitos i...
Baca Selengkapnya
Mitos vs Fakta Jurusan Kedokteran: Benarkah Hanya untuk Oran
Jurusan Kedokteran selalu menjadi salah satu program studi paling populer dan bergengsi di Indonesia. Namun, banyak mitos yang beredar seputar jurusan ini, mulai dari anggapan bahwa hanya orang kaya yang bisa masuk hingga rumor mistis tentang praktikum ma...
QRIS: Kebanggaan Indonesia yang Bikin Amerika Ketar-Ketir! I
Sobat Pintar, pernah nggak sih kamu bayangkan kalau teknologi pembayaran digital buatan Indonesia bisa bikin negara adidaya seperti Amerika Serikat ketar-ketir? Yap, itu bukan mimpi! QRIS (Quick Response Code Indonesian Standard) adalah sistem pembayaran ...
Hai Sobat Pintar,
Yuk Cobain Aplikasi Aku Pintar Sekarang Juga!
Jutaan siswa sudah menemukan minat, bakat dan kampus impian bersama Aku Pintar. Sekarang giliran kamu Sobat!
BannerPromoBlog