Materi Matematika Wajib - Aplikasi Barisan dan Deret Kelas 12 - Belajar Pintar
BelajarPintarV3
Peta Belajar Bersama
Simak peta belajar bersama tentang aplikasi barisan dan deret berikut ini, Sobat Pintar!

Pertumbuhan

Pertumbuhan adalah perubahan secara kuantitas sebuah objek pada rentang waktu tertentu dengan perubahan naik, artinya kuantitas objek tersebut semakin lama semakin bertambah
Contoh :
- Pertumbuhan penduduk
- Perkembangan bakteri
- Kenaikan omset
Pertumbuhan dapat dinyatakan dengan barisan sebagai berikut:

Secara umum, rumus dari pertumbuhan, yaitu

Keterangan :
M0 = Jumlah awal suatu objek
Mn = Jumlah suatu objek setelah n waktu
n = jangka waktu pertumbuhan
i = persentase pertumbuhan
Seperti yang kita ketahui bahwa materi ini termasuk dalam aplikasi dari barisan dan deret, maka pertumbuhan dapat menggunakan rumus dari barisan dan deret aritmetika maupun geometri.
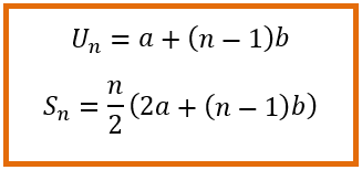
Barisan Aritmetika

dengan b bernilai positif
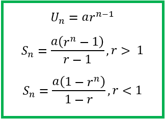
Barisan Geometri

dengan r bernilai positif
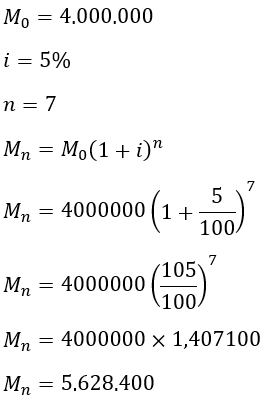
Contoh soal pertumbuhan :
Ayah bekerja di sebuah perusahaan swasta dengan gaji awal sebesar Rp 4.000.000,00. Setiap setahun sekali, gaji Ayah naik sebesar 5%. Gaji ayah setelah 7 tahun kerja di perusahaan tersebut, yaitu ….
Pembahasan:

Nilai Akhir Bunga Majemuk

Bunga majemuk adalah bunga yang dihitung dengan membungakan modal awal ditambah akumulasi bunga dari periode sebelumnya. Prinsipnya, bunga majemuk bergantung pada modal awal dan bunga pada periode sebelumnya.
Rumus dari bunga majemuk sama dengan rumus pertumbuhan, yaitu :

Keterangan :
M0 = Modal awal
Mn = Tabungan setelah n waktu
n = jangka waktu penyimpanan uang
i = persentase bunga
Contoh soal :
Andi menabung sebanyak Rp 1.000.000,00 pada sebuah bank. Ternyata bank tersebut menerapkan bunga majemuk sebesar 3% setiap 6 bulan sekali. Saldo tabungan Andi setelah 5 tahun adalah ….
Pembahasan :

Konsep Anuitas

Anuitas merupakan cicilan atau pembayaran dengan nilai tetap yang dibayarkan dalam satu periode tertentu. Waktu antara pembayaran – pembayaran yang berurutan dan berdekatan disebut interval pembayaran, dan waktu mulainya interval pembayaran pertama sampai dengan ujung interval pembayaran terakhir disebut jangka pembayaran.
Misalnya, seseorang meminjam uang di suatu bank. Salah satu cara untuk melunasi utang tersebut adalah dengan membayar tiap periode (tahun, bulan, atau minggu) sejumlah uang yang sama besarnya. Pembayaran yang tetap besarnya itu disebut anuitas. Karena anuitas dibayar untuk melunasi hutang, maka dalam anuitas terdapat 2 bagian, yaitu :
1. Bagian untuk melunasi pinjaman, yang disebut angsuran
2. Bagian untuk membayar bunga
Rumus dalam perhitungan anuitas adalah sebagai berikut

Keterangan :
P = pokok pinjaman
i = suku bunga per tahun (apabila perhitungan dalam bulan dibagi 12)
n = jangka waktu kredit
Sedangkan rumus bunga anuitas, yaitu :

Keterangan :
SP : Saldo pokok pinjaman bulan sebelumnya
i : suku bunga pertahun
30 : jumlah hari dalam sebulan
360 : jumlah hari dalam setahun
Materi Matematika Wajib SMA - 12 Lainnya
footer_v3
Bersama Aku Pintar temukan jurusan kuliah yang tepat
sesuai minat dan bakatmu.
Aku Pintar memiliki visi membuat pendidikan merata, mudah dijangkau, dan terjangkau dengan Program Journey Pintar yang merupakan sebuah program persiapan lengkap bagi siswa SMA/SMK/sederajat yang ingin masuk ke perguruan tinggi impiannya.
Kontak Kami
Grand Slipi Tower Lt. 42
Jl. S. Parman Kav 22-24
Jakarta Barat
© 2024 Aku Pintar. All Rights Reserved