Materi IPA - Kelistrikan dan Teknologi Listrik di Lingkungan Kelas Umum - Belajar Pintar
BelajarPintarV3
Muatan Listrik

Sobat Pintar, listrik sudah menjadi kebutuhan primer saat ini, yuk kita pelajari bagaimana sistem kerjanya.
Jika benda bermuatan listrik positif didekatkan dengan benda bermuatan listrik negatif maka akan saling tarik menarik. Sebaliknya, jika benda bermuatan listrik positif didekatkan dengan benda bermuatan listrik positif, atau benda bermuatan listrik negatif didekatkan dengan benda bermuatan listrik negatif akan saling tolak menolak. Interaksi kedua muatan tersebut merupakan gejala sederhana listrik statis.
Pada umumnya jumlah elektron dan proton pada atom-atom sebuah benda adalah sama, sehingga atom-atom pada benda tersebut tidak bermuatan listrik atau netral. Jika benda tersebut netral, dapatkah sebuah benda diubah menjadi bermuatan listrik? Bagaimana caranya? Yuk lanjut di bab selanjutnya !
Arus Listrik
Coba Sobat Pintar perhatikan lampu listrik di rumahmu atau di ruang kelasmu. Ketika kamu menyalakan lampu tentunya kamu akan menekan sakelar yang terpasang di dinding.
Jika satu sakelar ditekan maka lampu akan menyala tetapi mungkin lampu di ruangan lain tidak ikut menyala, atau ketika kamu menekan sakelar ternyata semua lampu di beberapa ruangan akan menyala bersamaan. Mengapa dapat terjadi demikian? Pernahkah kamu memikirkannya?
Arus listrik mengalir karena pada ujung-ujung rangkaian ada perbedaan potensial listrik yang diberikan oleh baterai sebagai sumber tegangan seperti yang telah dijelaskan pada percobaan baterai buah.
Ujung kawat penghantar yang memiliki banyak elektron (terhubung dengan kutub negatif baterai) dapat dikatakan memiliki potensial listrik yang rendah, sedangkan ujung kawat penghantar lainnya yang memiliki sedikit elektron (terhubung dengan kutub positif baterai) dapat dikatakan memiliki potensial listrik yang tinggi.
Arus listrik mengalir dari potensial tinggi ke potensial rendah, sedangkan arah aliran elektron adalah sebaliknya yaitu dari potensial rendah ke potensial tinggi atau dengan kata lain dari kutub negatif ke kutub positif.
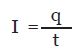
Pada rangkaian listrik tertutup, besar arus listrik yang mengalir pada rangkaian dapat ditentukan dengan menghitung besar muatan listrik yang mengalir pada rangkaian setiap detiknya. Hal ini dikarenakan besar arus listrik yang mengalir dalam suatu rangkaian tertutup sebanding dengan besarnya muatan listrik yang mengalir pada setiap detik, atau secara matematis besar arus listrik ditulis sebagai berikut.
Keterangan:
I = arus listrik (ampere)
q = muatan listrik (coulomb)
t = waktu (detik)
Upaya Penghematan Energi Listrik

Mengapa Sobat Pintar perlu menghemat energi listrik? Bukankah energI listrik tidak pernah habis meskipun telah digunakan dari kita kecil hingga sekarang?
Ternyata tidak hanya menghemat biaya listrik yang terus-menerus naik, upaya penghematan energi listrik juga dilakukan karena besarnya emisi karbon yang dihasilkan. Besarnya emisi karbon yang dihasilkan oleh pembangkit listrik yang menggunakan batu bara adalah penyumbang terbesar terjadinya global warming.
Salah satu upaya untuk menghemat energi listrik adalah dengan menggunakan energi listrik seperlunya atau mengganti peralatan listrik dengan daya yang lebih kecil.
Coba perhatikan penggunaan lampu sorot yang dipasang pada kendaraan terbaru, bandingkan dengan kendaraan lama, adakah perbedaannya?
Lampu sorot pada mobil-mobil baru dan lampu penerangan di rumah cenderung memanfaatkan lampu LED (Light Emitting Diode) daripada lampu bohlam seperti pada kendaraan lama. Penggunaan LED dengan daya yang lebih kecil tersebut diharapkan dapat menghemat kebutuhan energi listrik.
Materi IPA Umum - Umum Lainnya
Energi dalam Sistem Kehidupan
3 Sub Bab Materi
Pencemaran Lingkungan
3 Sub Bab Materi
Pemanasan Global
2 Sub Bab Materi
Struktur dan Fungsi Tumbuhan
3 Sub Bab Materi
Zat Aditif dan Zat Adiktif
2 Sub Bab Materi
Reproduksi pada Tumbuhan dan Hewan
6 Sub Bab Materi
Bioteknologi Pangan
2 Sub Bab Materi
Partikel Penyusun Benda Mati dan Makhluk Hidup
3 Sub Bab Materi
Tanah dan Keberlangsungan Kehidupan
2 Sub Bab Materi
Teknologi Ramah Lingkungan
2 Sub Bab Materi
footer_v3
Bersama Aku Pintar temukan jurusan kuliah yang tepat
sesuai minat dan bakatmu.
Aku Pintar memiliki visi membuat pendidikan merata, mudah dijangkau, dan terjangkau dengan Program Journey Pintar yang merupakan sebuah program persiapan lengkap bagi siswa SMA/SMK/sederajat yang ingin masuk ke perguruan tinggi impiannya.
Kontak Kami
Grand Slipi Tower Lt. 42
Jl. S. Parman Kav 22-24
Jakarta Barat
© 2024 Aku Pintar. All Rights Reserved