Hukum dan Gaya Coulomb: Pengertian, Rumus, dan Contoh Soal
APSiswaNavbarV2
Tesssss Tesssss
CssBlog
redesain-navbar Portlet
metablog-web Portlet
Blog
Pixaby by Ricky Atthariq
Sobat sudah tahu kan kalau muatan listrik itu ada positif dan juga negatif? Nah ternyata muatan-muatan tersebut dapat menghasilkan gaya lho. Hukum Coulomb yang menjelaskan tentang interaksi gaya-gaya muatan tersebut.
Yuk Sobat, kita belajar Hukum Coulomb bersama! Kita mulai dari mengetahui pengertian Hukum Coulomb, bunyi hukum coulomb, hingga contoh soal dan pembahasannya.
Kita mulai belajar dengan definisi Hukum Coulomb, Sobat. Hukum Coulomb ditemukan oleh ahli fisika asal Prancis yang bernama Charles Augustin de Coulomb. Coulomb melakukan penelitian mengenai gaya yang ditimbulkan oleh dua benda yang diberi muatan listrik dan dipisahkan oleh jarak tertentu. Hukum Coulomb pada dasarnya menyatakan bahwa interaksi muatan listrik yang sejenis akan tolak-menolak, sedangkan muatan yang berlainan jenis akan tarik-menarik. Dari hasil percobaan Coulomb, dapat dinyatakan bunyi Hukum Coulomb sebagai berikut:
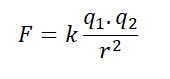
“Besar gaya tarik menarik atau tolak menolak antara dua benda bermuatan listrik berbanding lurus dengan hasil kali kedua muatan itu, dan berbanding terbalik dengan kuadrat jarak antara dua benda tersebut”
Secara matematis ditulis:
Dua buah muatan sebesar 5 C dan 3 C yang terpisah pada jarak 3 m berapakah gaya coulomb yang dialami oleh kedua muatan. . .
Pembahasan:
Diketahui :
q1 = 5 C
q2 = 3 C
r = 3 m
ditanya : F?
Nah bagaimana, Sobat? Hukum Coulomb tidak terlalu sulit, bukan? Sampai bertemu di pembahasan berikutnya!
ArtikelTerkaitV3
Mitos vs Fakta Jurusan Kedokteran: Benarkah Hanya untuk Oran
Jurusan Kedokteran selalu menjadi salah satu program studi paling populer dan bergengsi di Indonesia. Namun, banyak mitos yang beredar seputar jurusan ini, mulai dari anggapan bahwa hanya orang kaya yang bisa masuk hingga rumor mistis tentang praktikum ma...
Baca Selengkapnya
QRIS: Kebanggaan Indonesia yang Bikin Amerika Ketar-Ketir! I
Sobat Pintar, pernah nggak sih kamu bayangkan kalau teknologi pembayaran digital buatan Indonesia bisa bikin negara adidaya seperti Amerika Serikat ketar-ketir? Yap, itu bukan mimpi! QRIS (Quick Response Code Indonesian Standard) adalah sistem pembayaran ...
5 Destinasi Healing Terbaik untuk Siswa Setelah Ujian, Bikin
Hai, Sobat Pintar! Sudah lelah dengan segudang ujian yang bikin kepala pusing? Tenang, kamu berhak untuk healing sejenak sebelum melanjutkan perjalanan akademismu. Nah, kali ini Aku Pintar kasih rekomendasi destinasi healing terbaik buat kamu yang baru sa...
Hai Sobat Pintar,
Yuk Cobain Aplikasi Aku Pintar Sekarang Juga!
Jutaan siswa sudah menemukan minat, bakat dan kampus impian bersama Aku Pintar. Sekarang giliran kamu Sobat!
BannerPromoBlog