Materi Matematika - Integral Kelas Persiapan SBMPTN - Belajar Pintar
BelajarPintarV3
Integral Tak Tentu
Halo sobat pintar, apakah sobat pintar masih ingat dengan konsep integral yang diterapkan dalam mata pelajaran fisika kelas 11? apasih integral itu? integral merupakan anti turunan. Jadi, apabila terdapat fungsi F(x) yang dapat didiferensialkan pada interval [a, b] , sedemikian hingga
maka antiturunan dari f(x) adalah F(x) + c. Secara matematis dituliskan sebagai berkut
yang dimana
= Lambang integral yang menyatakan operasi antiturunan
f(x) = Fungsi integran, yaitu fungsi yang dicari antiturunannya
c = Konstanta
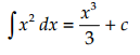
apakah sobat pintar masih bingung? jika iya coba perhatikan contoh berikut

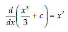
hal tersebut disebabkan karena

Sehingga sobat pintar dapat menyebut integral tak tentu sebagai wakil keseluruhan keluarga fungsi (satu antiturunan untuk setiap nilai konstanta c). Pengertian tersebut dapat sobat pintar gunakan untuk membuktikan beberapa teori yang akan membantu dalam pengerjaan hitung integral.
Aturan Integral Trigonometri
Berikut ini akan dibuktikan aturan integral trigonometri menggunakan rumus tersebut. Caranya adalah dengan mengintegralkan kedua ruas seperti berikut.

Integral Subtitusi
Apakah sobat pintar tau apa itu inbtegral subtitusi? Integral subtitusi merupakan suatu aturan, yang dimana aturan ini digunakan untuk memecahkan masalah pengintegralan yang tidak dapat diselesaikan dengan rumus-rumus dasar yang sudah dipelajari. Berikut adalah aturan dari integral subtitusi.
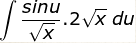
untuk lebih jalasnya perhatikan contoh soal berikut :
tentukan nilai dari 
pembahasan :







bagaimana? mudah bukan sobat pintar?
Materi Matematika SMA - Persiapan SBMPTN Lainnya
footer_v3
Bersama Aku Pintar temukan jurusan kuliah yang tepat
sesuai minat dan bakatmu.
Aku Pintar memiliki visi membuat pendidikan merata, mudah dijangkau, dan terjangkau dengan Program Journey Pintar yang merupakan sebuah program persiapan lengkap bagi siswa SMA/SMK/sederajat yang ingin masuk ke perguruan tinggi impiannya.
Kontak Kami
Grand Slipi Tower Lt. 42
Jl. S. Parman Kav 22-24
Jakarta Barat
© 2024 Aku Pintar. All Rights Reserved