Bilangan Pecahan – Pengertian, Jenis, Perbandingan, Operasi, dan Contoh
APSiswaNavbarV2
Tesssss Tesssss
CssBlog
redesain-navbar Portlet
metablog-web Portlet
Blog
Photo by Karthik Garikapati on Unsplash
Kenapa ada gambar pizza ya, Sobat Pintar?
Benar sekali! Potongan pada pizza merupakan salah satu bentuk nyata dari bilangan pecahan. Misalkan terdapat satu loyang pizza yang terbagi menjadi 6 bagian yang sama besar, kemudian kamu memakan 2 bagian pizza, maka dapat dikatakan kamu sudah memakan 2 bagian dari 6 bagian pizza atau dalam bilangan pecahan bisa dituliskan dengan : 2/6.
Dari contoh di atas, apakah sobat pintar sudah tahu apa itu bilangan pecahan?
Yuk! Kita belajar bersama untuk mengenal bilangan pecahan lebih jauh lagi lewat artikel ini.
Bilangan pecahan merupakan salah satu bilangan yang sering kita jumpai dalam pelajaran matematika. Dalam bahasa inggris, pecahan berarti fraction yang berasal dari bahasa latin, yaitu “fractus” yang artinya rusak. Pengertian dari bilangan pecahan adalah bagian dari satu keseluruhan dari suatu kuantitas tertentu.
Secara matematis, bilangan pecahan dapat disimbolkan dengan “a/b”. Bilangan a/b bisa dibaca dengan “a per b”. Bilangan a sebagai pembilang dan bilangan b sebagai penyebut.
Tahukah kamu terdapat berapa jenis bilangan pecahan?
Bilangan pecahan terbagi menjadi 4 jenis, yaitu : pecahan biasa, pecahan campuran, pecahan desimal, dan pecahan senilai.
1. Pecahan Biasa
Pecahan biasa terbagi menjadi dua macam, yaitu pecahan sejati dan pecahan tidak sejati. Pecahan sejati merupakan bilangan pecahan yang pembilangnya lebih kecil daripada penyebutnya. Sedangkan pecahan tidak sejati merupakan kebalikannya. Misalkan diketahui sebuah bilangan pecahan a/b, jika a < b disebut pecahan sejati, jika a > b disebut pecahan tidak sejati.
Contoh :
2. Pecahan Campuran
Pecahan campuran dapat diperoleh dari pecahan biasa tidak sejati dengan pembagian porogapit bersisa. Pecahan campuran terdiri dari bilangan bulat dan bilangan pecahan biasa. Pecahan campuran dapat disimbolkan sebagai berikut:
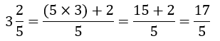
Cara mengubah pecahan biasa ke pecahan campuran dapat dilakukan dengan menggunakan cara porogapit. Contoh :
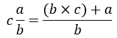
Selain mengubah pecahan biasa ke pecahan campuran, kalian juga bisa mengubah pecahan campuran ke pecahan biasa dengan cara berikut:
Contoh:
3. Pecahan Desimal
Pecahan desimal merupakan bilangan pecahan yang penyebutnya bilangan kelipatan 10, yaitu 10, 100, 100, dst. Penulisan dari bilangan ini menggunakan tanda koma (,). Contoh :
3. Pecahan Senilai
Pecahan senilai merupakan dua atau lebih bilangan pecahan yang memiliki perbandingan yang sama antara pembilang dan penyebutnya.
1/2 senilai dengan 4/8, karena perbandingan pembilang dan penyebutnya sama, yaitu 1/2.
Bingung dengan Tugas matematika? Tanyain aja!
Dalam membandingkan dua atau lebih bilangan pecahan, Sobat Pintar perlu menyamakan terlebih dahulu penyebut dari bilangan-bilangan pecahannya. Untuk menyamakan penyebutnya, diperlukan kelipatan persekutuan terkecil (KPK) dari bilangan-bilangan yang menjadi penyebutnya.
Perhatikan contoh menyamakan penyebut sebagai berikut!
setelah penyebutnya sama, maka pembilang dapat dibandingkan nilainya.
Dalam operasi bilangan pecahan, terdapat aturan yang perlu diperhatikan, yaitu penjumlahan, pengurangan, perkalian, dan pembagian. Berikut penjelasan dari operasi-operasi tersebut, termasuk contoh soal penjumlahan dan pengurangan bilangan pecahan.
Penjumlahan bilangan pecahan disimbolkan dengan tanda tambah (+). Sedangkan pengurangan disimbolkan dengan tanda (–). Dalam penjumlahan bilangan pecahan yang memiliki penyebut yang sama, bilangan yang dijumlahkan hanya bilangan pada pembilang saja. Sedangkan penjumlahan bilangan pecahan yang berbeda penyebutnya, tidak dapat dilakukan secara langsung. Namun harus menyamakan terlebih dahulu penyebutnya dengan menggunakan kelipatan persekutuan terkecil (KPK) dari penyebut-penyebutnya. Aturan yang sama juga berlaku untuk operasi pengurangan bilangan pecahan. Cara menyamakan penyebutnya sama dengan menyamakan penyebut untuk perbandingan bilangan pecahan.
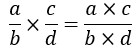
Dalam perkalian antar bilangan pecahan tidak perlu menyamakan penyebutnya. Perkalian dilakukan secara langsung antar pembilang dan antar penyebut. Perkalian dari bilangan pecahan dapat dirumuskan sebagai berikut:
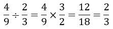
Dalam pembagian antar bilangan pecahan tidak perlu menyamakan penyebutnya. Pembagian bilangan pecahan dapat diubah menjadi bentuk perkalian bilangan pecahan. Pembagian dari bilangan pecahan dapat dirumuskan sebagai berikut:
Nah, Sobat, materi dan soal bilangan pecahan ternyata mudah, bukan? Selain materi bilangan pecahan, kalian juga bisa belajar tentang materi-materi lainnya melalui aplikasi Aku Pintar di fitur Belajar Pintar mata pelajaran Matematika. Sampai bertemu di pembahasan berikutnya, Sobat Pintar!
Mau video pembelajaran GRATIS?
ArtikelTerkaitV3
QRIS: Kebanggaan Indonesia yang Bikin Amerika Ketar-Ketir! I
Sobat Pintar, pernah nggak sih kamu bayangkan kalau teknologi pembayaran digital buatan Indonesia bisa bikin negara adidaya seperti Amerika Serikat ketar-ketir? Yap, itu bukan mimpi! QRIS (Quick Response Code Indonesian Standard) adalah sistem pembayaran ...
Baca Selengkapnya
5 Destinasi Healing Terbaik untuk Siswa Setelah Ujian, Bikin
Hai, Sobat Pintar! Sudah lelah dengan segudang ujian yang bikin kepala pusing? Tenang, kamu berhak untuk healing sejenak sebelum melanjutkan perjalanan akademismu. Nah, kali ini Aku Pintar kasih rekomendasi destinasi healing terbaik buat kamu yang baru sa...
Mobil Hidrogen: Solusi Transportasi Ramah Lingkungan Masa De
Hai, Sobat Pintar! Pernah dengar tentang mobil hidrogen? Kalau belum, kamu wajib banget baca artikel ini sampai habis. Mobil hidrogen adalah salah satu inovasi terbesar di dunia otomotif yang bisa jadi solusi transportasi ramah lingkungan di masa depan. Y...
Hai Sobat Pintar,
Yuk Cobain Aplikasi Aku Pintar Sekarang Juga!
Jutaan siswa sudah menemukan minat, bakat dan kampus impian bersama Aku Pintar. Sekarang giliran kamu Sobat!
BannerPromoBlog