Gelombang Bunyi: Klasifikasi, Sifat Gelombang Bunyi, dan Penerapannya
APSiswaNavbarV2
Tesssss Tesssss
CssBlog
redesain-navbar Portlet
metablog-web Portlet
Blog
Photo by Ritupom Baishya on Unsplash
Hai Sobat Pintar, apakah kalian pernah merasa bingung kenapa saat berbicara di alam terbuka, suaramu bisa terdengar sampai jauh? Apalagi kalau berada di dalam goa, suara kalian bisa terdengar berulang seperti ada yang menirukan. Hal tersebut bisa terjadi karena adanya karakteristik dari getaran gelombang dan bunyi. Penasaran? Yuk, kita belajar mengenai konsep gelombang bunyi bersama-sama yang lengkapnya ada dalam fitur Belajar Pintar.
Pernahkan sobat merasa terganggu dengan suara-suara tertentu? Pastinya pernah kan? Entah suara bising kendaraan, suara handphone bergetar saat kita tidur, atau suara-suara lainnya yang mengganggu kita.
Bunyi ini pada dasarnya adalah hasil dari getaran yang mengganggu atau yang menggetarkan udara di sekitarnya. Gangguan tersebut merambat hingga menggetarkan gendang telinga dan hasilnya adalah bunyi yang kita dengar. Memang, bagian telinga yang berfungsi menangkap gelombang bunyi adalah gendang telinga.
Sehingga dapat disimpulkan bahwa bunyi adalah getaran yang merambat. Secara umum gelombang bunyi adalah gelombang yang merambat melalui medium tertentu. Gelombang bunyi merupakan gelombang mekanik yang digolongkan sebagai gelombang longitudinal.
Suatu bunyi dapat didengar oleh manusia karena memiliki 3 hal, yaitu adanya sumber bunyi, adanya medium rambat bunyi, dan frekuensinya yang berada antara 20 Hz – 20.000 Hz (audiosonik). Tidak hanya manusia, semua makhluk hidup juga dapat mendengar bunyi. Berdasarkan frekuensinya, gelombang bunyi diklasifikasikan sebagai berikut:
1. Infrasonik: bunyi yang memiliki frekuensi < 20 Hz. Bunyi ini dapat didengar oleh hewan seperti jangkrik, laba-laba, gajah, anjing, dan lumba-lumba.
2. Audiosonik: bunyi yang memiliki frekuensi 20 Hz – 20.000 Hz. Bunyi ini dapat didengar oleh manusia.
3. Ultrasonik: bunyi yang memiliki frekuensi > 20.000 Hz. Bunyi ini dapat didengar oleh hewan seperti kelelawar dan lumba-lumba.
Â
Mengapa bunyi yang dihasilkan dari ruangan tertutup terdengar lebih keras dari ruangan terbuka? Mengapa jika kita berteriak di sekitar tebing selalu ada suara yang meniru setelahnya? Semua itu terjadi karena adanya pemantulan (refleksi).
Pemantulan adalah keadaan ketika gelombang bunyi yang datang mengenai permukaan suatu medium yang keras dan kembali ke medium asalnya dengan sudut yang sama.
Bunyi dalam ruangan tertutup terdengar lebih keras karena dinding ruangan terlalu dekat dengan sumber bunyi. Alhasil, bunyi pantul tidak memiliki waktu yang cukup untuk merambat dan menyebabkan bunyi datang dan bunyi pantul terdengar bersamaan.
Berbeda dengan gema atau suara pantulan yang terjadi jika kita berteriak di sekitar tebing. Jarak antara tebing dan sumber bunyi cukup jauh sehingga bunyi pantul memerlukan waktu yang cukup lama untuk merambat sampai pendengaran. Akibatnya, bunyi pantul akan terdengar setelah bunyi asli.
Jika gelombang bunyi merambat dan memasuki medium yang berbeda, gelombang bunyi tersebut akan dibelokkan. Itulah yang disebut dengan pembiasan (refleksi) gelombang bunyi.
Refraksi terjadi jika gelombang bunyi dari suatu medium memasuki medium lain dengan sudut tertentu. Hal inilah yang menyebabkan suara petir pada malam hari terdengar lebih keras dibandingkan pada siang hari. Pada malam hari, lapisan udara bagian bawah lebih rapat daripada bagian atas sehingga suara petir dari lapisan udara akan dibiaskan mendekati permukaan tanah di bawahnya.
Difraksi adalah peristiwa pelenturan gelombang ketika melewati celah yang ukurannya seorde dengan panjang gelombangnya. Contohnya yaitu ketika seseorang dapat mendengar suara dari ruangan di sebelahnya.
Interferensi adalah perpaduan dua gelombang berbeda yang saling berinteraksi pada medium yang sama. Interferensi terbagi menjadi dua macam, yaitu interferensi konstruktif dan interferensi destruktif.
Interferensi konstruktif adalah keadaan saat kedua gelombang yang berinterferensi sefase, sehingga saling memperkuat. Sebaliknya, interferensi destruktif terjadi ketika kedua gelombang yang berinterferensi berbeda fase 180° sehingga saling melemahkan.
Pelayangan bunyi adalah dua bunyi keras atau dua bunyi lemah yang terjadi secara berurutan. Jika kedua gelombang bunyi merambat bersamaan, bunyi paling kuat akan dihasilkan saat fase keduanya sama. Jika kedua getaran berlawanan fase, maka akan menghasilkan bunyi paling lemah.
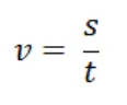
Nilai kecepatan dari gelombang bunyi bervariasi. Hal ini tergantung dari medium rambatnya. Secara umum, cara menghitung cepat rambat bunyi adalah sebagai berikut:
Keterangan :
v = cepat rambat gelombang (m/s)
s = jarak (m)
t = waktu (s)
Gelombang bunyi dapat merambat melalui zat padat. Contoh medium rambat zat padat yaitu alumunium, baja, kaca, dan lain-lain. Rumus menghitung cepat rambat bunyi yang merambat melalui zat padat adalah sebagai berikut:
Modulus young (E) merupakan ukuran kekakuan suatu bahan zat padat. Nilai modulus young zat padat berbeda-beda.
Gelombang bunyi juga dapat merambat melalui zat cair. Medium zat cair dapat berupa air, raksa, helium cair, dan lainnya. Rumus untuk menghitung cepat rambat bunyi dalam zat cair adalah sebagai berikut:
Modulus Bulk (B) merupakan kecenderungan suatu benda untuk berubah bentuk ke segala arah ketika diberi suatu tegangan ke segala arah.
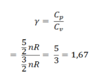
Gelombang bunyi juga dapat merambat melalui medium udara atau gas. Rumus untuk menghitung cepat rambat bunyi dalam gas adalah sebagai berikut:
Konstanta laplace adalah perbandingan antara kapasitas kalor gas pada tekanan tetap dengan kapasitas kalor pada volume tetap. Konstanta laplace dapat dipakai untuk gas monoatomik atau diatomik. Konstanta laplace untuk gas monoatomik adalah:
Dengan memahami karakteristik dari gelombang bunyi, para ilmuwan Fisika dapat membuat teknologi yang membantu pekerjaan manusia contohnya SONAR, Ultrasonografi, dan Echocardiogram.
Teknologi SONAR dapat digunakan untuk sistem navigasi dengan bunyi pantul ultrasonik. Pada perangkat kamera, teknologi SONAR berguna untuk mendeteksi jarak benda yang akan difoto. Pada kendaraan mobil, teknologi SONAR dapat digunakan untuk mendeteksi jarak benda-benda yang ada di sekitar mobil. Pada pengukur kedalaman laut, teknologi SONAR untuk mengukur kedalaman laut dengan diletakkan di bawah kapal.
Prinsip kerja SONAR adalah berdasarkan pemantulan gelombang ultrasonik. SONAR memiliki dua bagian alat yang memancarkan gelombang ultrasonik yang disebut transmitter (emitter) dan alat yang dapat mendeteksi datangnya gelombang pantul (gema) yang disebut sensor (receiver).
Gelombang ultrasonik dipancarkan oleh transmitter (pemancar) yang diarahkan ke sasaran, kemudian akan dipantulkan kembali dan ditangkap oleh pesawat penerima (receiver). Dengan mengukur waktu yang diperlukan dari gelombang dipancarkan sampai gelombang diterima kembali, maka dapat ditentukan nilai jarak atau kedalaman laut.
Ultrasonografi adalah teknologi yang digunakan untuk mencitrakan bagian dalam tubuh manusia. USG digunakan untuk melihat perkembangan janin dalam kandungan. USG memiliki 3 bagian utama yaitu Transducer, Monitor, dan Mesin USG. Prinsip kerja dari Ultrasonografi menggunakan konsep pemantulan bunyi, yaitu transducer ditempelkan pada organ yang ingin dilihat citra bagian dalamnya.
Di dalam transducer terdapat kristal yang dapat digunakan untuk menangkap gelombang yang disalurkan. Gelombang yang diterima ini masih dalam bentuk gelombang pantulan. Setelah diubah ke dalam bentuk gelombang elektronik dan kemudian masuk ke mesin USG, data elektronik tersebut diubah menjadi data gambar yang ingin ditampilkan ke Monitor.
Echocardiogram adalah teknologi yang dapat digunakan untuk mengukur kecepatan aliran darah. Kecepatan aliran darah diukur menggunakan efek Doppler. Bunyi ultrasonik diarahkan menuju pembuluh nadi, dan pergerakan gelombang bunyi tersebut mengikuti kecepatan aliran darah.
Seorang anak mendengar bunyi yang memiliki panjang gelombang sebesar 10 meter. Jika cepat rambat bunyi di udara adalah 340 m/s, tentukan:
1. frekuensi sumber bunyi 2. periode sumber bunyi
Diketahui:
Jawab:
Nah bagaimana, Sobat? Gelombang bunyi tidak terlalu sulit, bukan?
Kalian bisa simak pembahasan banyak soal dalam fitur APLive ya. Pastinya bisa download dulu apikasi Aku Pintar, gratis kok!
Writer: Fifa Editor: Deni Purbowati, Qorin R
ArtikelTerkaitV3
Mitos & Fakta Jurusan Hukum: Benarkah Hanya untuk Calon Peng
Sobat Pintar, pernah dengar anggapan bahwa Jurusan Hukum hanya cocok untuk mereka yang suka berdebat atau ingin jadi pengacara? Atau mungkin kamu berpikir bahwa lulusan Hukum pasti akan jadi hakim atau jaksa? Nah, sebelum kamu terjebak dalam mitos-mitos i...
Baca Selengkapnya
Mitos vs Fakta Jurusan Kedokteran: Benarkah Hanya untuk Oran
Jurusan Kedokteran selalu menjadi salah satu program studi paling populer dan bergengsi di Indonesia. Namun, banyak mitos yang beredar seputar jurusan ini, mulai dari anggapan bahwa hanya orang kaya yang bisa masuk hingga rumor mistis tentang praktikum ma...
QRIS: Kebanggaan Indonesia yang Bikin Amerika Ketar-Ketir! I
Sobat Pintar, pernah nggak sih kamu bayangkan kalau teknologi pembayaran digital buatan Indonesia bisa bikin negara adidaya seperti Amerika Serikat ketar-ketir? Yap, itu bukan mimpi! QRIS (Quick Response Code Indonesian Standard) adalah sistem pembayaran ...
Hai Sobat Pintar,
Yuk Cobain Aplikasi Aku Pintar Sekarang Juga!
Jutaan siswa sudah menemukan minat, bakat dan kampus impian bersama Aku Pintar. Sekarang giliran kamu Sobat!
BannerPromoBlog