Memahami Limit Tak Hingga: Pengertian, Rumus, dan Contoh Soal
APSiswaNavbarV2
Tesssss Tesssss
CssBlog
redesain-navbar Portlet
metablog-web Portlet
Blog
Image par Reimund Bertrams de Pixabay
Limit tak hingga aljabar belum pernah kita bahas kan, Sobat Pintar? Berbeda dengan limit fungsi aljabar yang sudah pernah diulas sebelumnya, kali ini kita akan belajar tentang pengertian dan konsep limit tak hingga fungsi aljabar.
Sebelum membahas materi limit tak hingga, ingat-ingat lagi yuk, materi tentang limit fungsi aljabar. Dalam materi tersebut, dijelaskan bahwa suatu fungsi memiliki limit, dengan nilai x mendekati suatu nilai untuk fungsi f(x). Secara sistematis, konsep dari limit fungsi x mendekati a, yaitu :
(dibaca: limit fungsi f(x) untuk x mendekati a sama dengan L)
Bagaimana jika nilai a dibuat semakin besar atau bertambah besar tanpa batas, sehingga x akan mendekati tak hingga? Apabila suatu fungsi f(x) didekati oleh suatu nilai yang membesar atau mengecil tanpa batas, maka disebut dengan limit tak hingga. Nah, materi limit tak hingga inilah yang kita pelajari kali ini, Sobat.
Photo by freddie marriage on Unsplash
Limit tak hingga dilambangkan dengan simbol infinity, seperti gambar di atas, yang bermakna tak hingga atau tak terhingga. Ingat ga, Sobat, judul film Infinity War yang artinya perang tanpa batas? Kalau pada matematika limit tak hingga, infinity digunakan untuk menyatakan bilangan yang terlalu banyak dan disingkat menjadi ∞.
Asal kamu tau, Sobat, limit merupakan pendekatan fungsi pada nilai tertentu. Artinya, nilai x hanya mendekati suatu fungsi pada nilai tertentu. Lalu bagaimana jika suatu fungsi didekati oleh nilai yang menuju tak hingga? Yuk, kita bahas tentang materi limit tak hingga beserta contoh soalnya.
Â
Photo by Pavol Å tugel on Unsplash
Sebelum belajar materi limit tak hingga, kita juga perlu tahu terlebih dahulu mengenai perkalian dan pembagian dengan bilangan tak terhingga maupun negatif tak hingga (∞ dan -∞).
Sesuai dengan aturan limit tak hingga, suatu bilangan yang dikalikan dengan bilangan tak terhingga maka sudah pasti hasilnya adalah bilangan yang besarnya tak terhingga. Begitu juga sebaliknya, jika suatu bilangan dikalikan dengan bilangan negatif tak terhingga, maka hasilnya akan sangat kecil (bilangan negatif).
Contoh:
Demikian pula dengan pembagiannya. Mengikuti aturan limit tak hingga, jika suatu bilangan dibagi dengan bilangan tak terhingga maka hasilnya akan sangat kecil sekali bahkan mendekati nol.
Contoh :
Photo by Monstera on Pexels
Setelah mengetahui tentang perkalian dan pembagian bilangan tak terhingga, kita udah siap nih, buat belajar tentang konsep matematika limit tak hingga. Bentuk umum limit tak hingga sama seperti bentuk dari limit fungsi, tetapi x mendekati bilangan tak terhingga, yaitu :
Nah, untuk mencari nilai dari limit tak hingga harus menggunakan beberapa cara lain, Sobat Pintar. Jika disubstitusi langsung oleh tak hingga, kita akan memperoleh hasil bentuk tak tentu:
Photo by cottonbro studio on Pexels
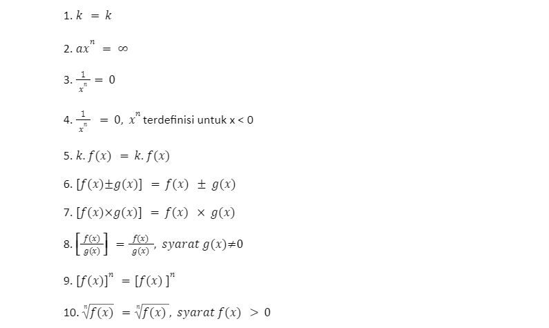
Sebelum menentukan nilai limit tak hingga, kita bahas dahulu sifat limit tak hingga, Sobat. Teorema atau sifat pada limit tak hingga sedikit berbeda dengan sifat limit fungsi. Jika n adalah bilangan bulat, k adalah konstanta, serta fungsi f dan fungsi g adalah fungsi-fungsi yang memiliki nilai limit yang mendekati tak hingga, maka:
Ada beberapa cara yang bisa kita gunakan untuk menentukan nilai limit tak hingga, Sobat Pintar. Di bawah ini dijabarkan bagaimana menentukan nilai limit tak hingga cara cepat.
Penentuan nilai limit tak hingga cara cepat yang pertama adalah dengan faktorisasi. Apabila nilai limit suatu fungsi menghasilkan bentuk tak tentu, maka fungsi tersebut perlu disederhanakan terlebih dahulu. Caranya, faktorkan fungsinya sehingga menjadi fungsi yang lebih sederhana.
Contoh soal :
Penentuan nilai limit tak hingga rumus berikutnya adalah dengan pembagian menggunakan pangkat tertinggi. Pembagian dengan pangkat tertinggi bisa diterapkan pada limit tak hingga dengan bentuk:
Bagaimana caranya? Cara mendapatkan nilai limit tak hingga rumus ini adalah dengan membagi fungsi pembilang f(x) dan fungsi penyebut g(x) dengan peubah
Perlu dicatat, Sobat, peubah tersebut memiliki pangkat tertinggi pada fungsi f(x) maupun g(x). Langkah limit tak hingga rumus selanjutnya, sederhanakan bentuk limit dan substitusikan
Lakukan penyederhanaan bentuk limit dan substitusi sampai diperoleh hasilnya. Agar lebih jelas, perhatikan contoh soal limit tak hingga pecahan di bawah ini.
Supaya lebih mudah dalam menyelesaikan limit tak hingga bentuk polinomial, terdapat satu teorema yang berlaku. Teorema tersebut adalah sebagai berikut.
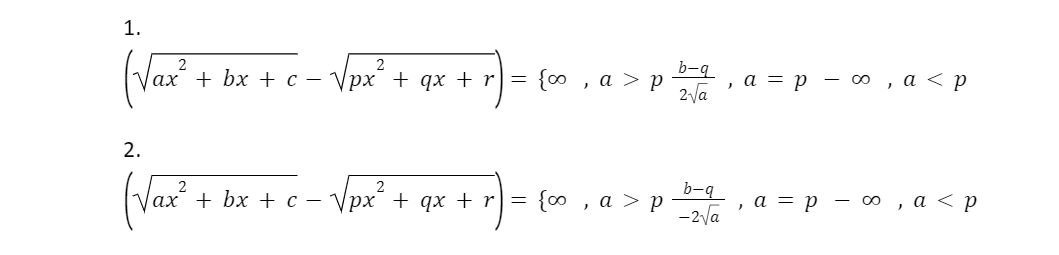
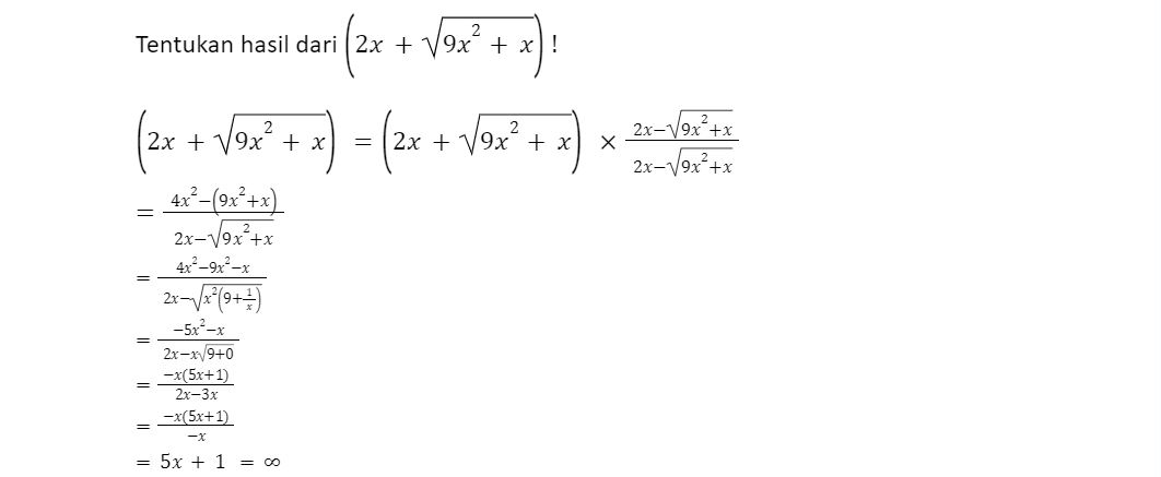
Sudah kenal dengan perkalian sekawan, Sobat Pintar? Perkalian dengan bentuk sekawan digunakan pada limit tak hingga bentuk:
Perkalian sekawan erat kaitannya dengan limit tak hingga akar. Untuk merasionalkan bentuk akar, kita harus mengalikan akar dengan sekawannya. Kemudian, sederhanakan bentuk limitnya dan substitusikan
Bagaimana cara menyelesaikan soal limit tak hingga akar? Untuk memudahkanmu menyelesaikan limit tak hingga bentuk akar, perhatikan teorema:
Hampir sama dengan limit tak hingga aljabar, limit tak hingga trigonometri juga memiliki sifat-sifat tertentu yang digunakan untuk mencari nilai dari limit tak hingganya pada fungsi trigonometri. Berikut sifat-sifat dari limit tak hingga fungsi trigonometri yang dapat kita gunakan untuk mencari nilai limitnya.
Selain itu, kita dapat mengubah nilai limit guna menyelesaikan soal limit tak hingga trigonometri. Perhatikan contoh soal berikut.
Nah, sampai sini dahulu pembahasan mengenai materi limit tak hingga. Memang susah-susah gampang sih, tetapi semoga bisa dipahami ya, Sobat Pintar. Sampai bertemu di pembahasan berikutnya!
Penulis: Kak Sophia
Penyunting: Deni Purbowati
ArtikelTerkaitV3
Mitos vs Fakta Jurusan Kedokteran: Benarkah Hanya untuk Oran
Jurusan Kedokteran selalu menjadi salah satu program studi paling populer dan bergengsi di Indonesia. Namun, banyak mitos yang beredar seputar jurusan ini, mulai dari anggapan bahwa hanya orang kaya yang bisa masuk hingga rumor mistis tentang praktikum ma...
Baca Selengkapnya
QRIS: Kebanggaan Indonesia yang Bikin Amerika Ketar-Ketir! I
Sobat Pintar, pernah nggak sih kamu bayangkan kalau teknologi pembayaran digital buatan Indonesia bisa bikin negara adidaya seperti Amerika Serikat ketar-ketir? Yap, itu bukan mimpi! QRIS (Quick Response Code Indonesian Standard) adalah sistem pembayaran ...
5 Destinasi Healing Terbaik untuk Siswa Setelah Ujian, Bikin
Hai, Sobat Pintar! Sudah lelah dengan segudang ujian yang bikin kepala pusing? Tenang, kamu berhak untuk healing sejenak sebelum melanjutkan perjalanan akademismu. Nah, kali ini Aku Pintar kasih rekomendasi destinasi healing terbaik buat kamu yang baru sa...
Hai Sobat Pintar,
Yuk Cobain Aplikasi Aku Pintar Sekarang Juga!
Jutaan siswa sudah menemukan minat, bakat dan kampus impian bersama Aku Pintar. Sekarang giliran kamu Sobat!
BannerPromoBlog