Mengenal Hidrolisis Garam, Pengertian, Reaksi, dan Cara Menghitung
APSiswaNavbarV2
Tesssss Tesssss
CssBlog
redesain-navbar Portlet
metablog-web Portlet
Blog
Photo by jcomp on Freepik
Hidrolisis garam sebenarnya bukan istilah baru dalam pelajaran Kimia. Hayo, sudah pernah dibahas di kelasmu, belum?
Dalam ilmu kimia, kita mengenal beberapa jenis garam. Kira-kira garam yang ada di dapur atau meja makan termasuk salah satu dari jenis-jenis garam itu, bukan? Nah, kamu mau tau atau mau tau banget, Sobat Pintar? Yuk, baca bahasan di bawah ini sampai tuntas!
Â
Photo by Jason Tuinstra on Unsplash
Garam merupakan senyawa yang dihasilkan dari reaksi netralisasi antara larutan asam dan larutan basa yang akan menghasilkan garam dan air. Secara umum reaksi netralisasi adalah sebagai berikut:
Contoh reaksi netralisasi/reaksi pembentukan garam:
Garam dapat terbentuk dari empat reaksi kimia berikut:
1. Garam dari asam kuat dan basa kuat, garam ini bersifat netral (pH = 7). Contoh:
2. Garam dari asam kuat dan basa lemah, garam ini bersifat asam (pH <7). Contoh:
3. Garam dari basa kuat dan asam lemah, garam ini bersifat basa (pH >7). Contoh:
4. Garam dari asam lemah dan basa lemah, sifat asam/basa bergantung pada nilai Ka dan Kb dari senyawa tersebut. Contoh:
Photo by Timo Volz on Unsplash
Hidrolisis berasal dari kata hydro yang berarti air dan lysis yang berarti peruraian. Dengan demikian, definisi hidrolisis garam adalah reaksi peruraian yang terjadi antara kation dan anion garam dengan air dalam suatu larutan.
Hidrolisis garam dapat diartikan sebagai reaksi reversible penguraian garam oleh air. Maka dari itu, hidrolisis garam adalah reaksi antara salah satu ion-ion garam (kation atau anion) dengan air dan membentuk larutan bersifat asam atau basa. Beberapa sifat atau karakteristik dari hidrolisis garam adalah sebagai berikut:
1. Proses hidrolisis menghasilkan asam dan basa pembentuk garam.
2. Kation dan anion dari asam-basa kuat tidak dapat terhidrolisis karena terionisasi sempurna.
3. Garam tidak terhidrolisis jika tidak ada kation maupun anion yang bereaksi.
4. Garam terhidrolisis sebagian jika salah satu kation atau anion bereaksi.
5. Garam terhidrolis sempurna jika kation dan anion bereaksi.
Photo by Marta Dzedyshko on Pexels
Dilansir dari The Fact Factor, garam yang terbentuk dari asam kuat dan basa kuat tidak akan mengalami proses hidrolisis karena baik kation maupun anionnya tidak bereaksi dengan air. Contoh hidrolisis garam natrium klorida (NaCl) yang terbentuk dari asam kuat dan basa kuat yaitu asam klorida (HCl) dan natrium hidroksida (NaOH).
Dari reaksi hidrolisis di atas, terlihat ion yang terbentuk saat garam NaCl dilarutkan dalam air adalah OH- dan H+. keduanya akan saling menetralkan dan tidak bereaksi dengan air. Dengan kata lain, garam NaCl hanya terionisasi dan tidak terhidrolisis, sehingga larutan yang dihasilkannya bersifat netral (pH=7).
Photo by Lena Kudryavtseva on Unsplash
Garam dari asam kuat dan basa lemah akan mengalami hidrolisis sebagian. Contoh hidrolisis amonium klorida (NH4Cl) yang terbentuk dari asam kuat dan basa lemah yaitu asam klorida (HCl) dan amonia (NH3). Amonia akan mengalami ionisasi terurai menjadi ion NH4+ dan Cl-.
Perlu diingat bahwa ion Cl- dari asam kuat HCl tidak akan terhidrolisis oleh air, maka hanya ion NH4+ yang akan bereaksi dengan air dan meningkatkan konsentrasi ion hidronium. Proses hidrolisis garamnya sebagai berikut:
Hidrolisis garam amonium klorida akan mengasilkan larutan asam dengan pH di bawah 7. Dari persamaan tersebut, kita dapat menghitung derajat hidrolisisnya untuk menghitung pH larutannya. Rumus hidrolisis yang digunakan sebagai berikut:
Keterangan:
Photo by Uby Yanes on Unsplash
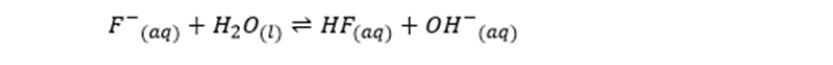
Garam dari asam lemah dan basa kuat jika dihidrolisis akan menghasilkan larutan basa. Contoh hidrolisis garam natrium flurida (NaF) yang terbentuk dari asam lemah flurida (HF) dan basa kuat natrium hidroksida (NaOH).
Kation Na+ dari basa kuat natrium hidrokida tidak akan terhidrolisis. Dilansir dari Lumen Learning, anion F- adalah basa konjugasi HF yang akan menerima proton dari air (terhidrolisis). Proses hidrolisis garamnya sebagai berikut:
Saat anion (F-) terhidrolisis dengan air, maka terbentuk ion OH- yang membuat larutan bersifat asam dengan pH lebih besar dari 7. Derajat hidrolisisnya dapat dicari dengan rumus hidrolisis sebagai berikut:
Photo by ekaterina shishina on Unsplash
Garam dari asam lemah dan basa lemah dapat terhidrolisis secara sempurna. Namun untuk menentukan sifat larutannya, harus diperhitungkan konsentrasi asam dan basanya.
Dilansir dari Chemistry LibreTexts, jika Ka lebih besar dari Kb maka larutan hidrolisis bersifat asam. Jika Kb lebih besar dari Ka, maka larutan hidrolisis bersifat basa. Jika nilai Ka sama dengan Kb, maka larutan bersifat netral.
Contoh hidrolisis garam amonium asetat (CH3COONH4) yang terbentuk dari asam lemah dan basa lemah yaitu asam asetat (CH3COOH) dan ammonium hidroksida (NH4OH). Kedua ion tersebut bisa terhidrolisis oleh air, sehingga derajat ionisasi dan pH-nya dapat dihitung melalui persamaan atau rumus hidrolisis:
Nah, sekarang kamu jadi tau lebih banyak tentang garam kan, Sobat Pintar? Eitts! Sebenarnya yang kita bahas barusan masih awalnya saja. Kamu bisa lanjutkan belajar materi Hidrolisis Garam dan latihan soalnya di sini!
Penulis: Muhammad Fahmi Ridlo
Penyunting: Deni Purbowati
ArtikelTerkaitV3
Mitos vs Fakta Jurusan Kedokteran: Benarkah Hanya untuk Oran
Jurusan Kedokteran selalu menjadi salah satu program studi paling populer dan bergengsi di Indonesia. Namun, banyak mitos yang beredar seputar jurusan ini, mulai dari anggapan bahwa hanya orang kaya yang bisa masuk hingga rumor mistis tentang praktikum ma...
Baca Selengkapnya
QRIS: Kebanggaan Indonesia yang Bikin Amerika Ketar-Ketir! I
Sobat Pintar, pernah nggak sih kamu bayangkan kalau teknologi pembayaran digital buatan Indonesia bisa bikin negara adidaya seperti Amerika Serikat ketar-ketir? Yap, itu bukan mimpi! QRIS (Quick Response Code Indonesian Standard) adalah sistem pembayaran ...
5 Destinasi Healing Terbaik untuk Siswa Setelah Ujian, Bikin
Hai, Sobat Pintar! Sudah lelah dengan segudang ujian yang bikin kepala pusing? Tenang, kamu berhak untuk healing sejenak sebelum melanjutkan perjalanan akademismu. Nah, kali ini Aku Pintar kasih rekomendasi destinasi healing terbaik buat kamu yang baru sa...
Hai Sobat Pintar,
Yuk Cobain Aplikasi Aku Pintar Sekarang Juga!
Jutaan siswa sudah menemukan minat, bakat dan kampus impian bersama Aku Pintar. Sekarang giliran kamu Sobat!
BannerPromoBlog