Turunan Fungsi Aljabar – Konsep, Rumus, dan Aplikasi
APSiswaNavbarV2
Tesssss Tesssss
CssBlog
redesain-navbar Portlet
metablog-web Portlet
Blog
Photo by TUAN ANH TRAN on Unsplash
Apa itu turunan? Apa hubungannya dengan ilustrasi menampi padi di atas? Turunan dapat diilustrasikan dengan biji padi yang digiling menjadi beras, sehingga beras merupakan turunan dari padi.
Sebelum mempelajari mengenai turunan, Sobat Pintar sudah pernah mempelajari tentang limit, bukan? Nah, materi turunan merupakan materi lanjutan dari limit dan berhubungan dengan kemiringan (gradien) garis lurus.
Turunan merupakan cabang dari ilmu kalkulus. Turunan didefinisikan sebagai suatu perhitungan terhadap perubahan nilai fungsi karena perubahan pada variabelnya. Turunan disebut juga dengan diferensial. Proses dalam menentukan turunan suatu fungsi disebut sebagai diferensiasi.
Menarik, bukan? Yuk, kita bahas konsep dan cara penyelesaian dari turunan suatu fungsi.
Â
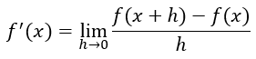
Turunan dari suatu fungsi dapat didefinisikan:
Dengan syarat, f(x) memiliki nilai limit.
Turunan dapat dinotasikan dengan :
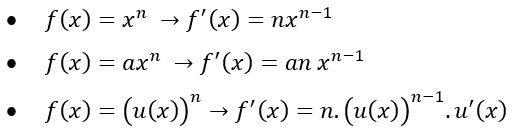
Penyelesaian turunan yang menggunakan definisi limit kurang efektif dalam menyelesaikan suatu fungsi berpangkat. Oleh karenanya, fungsi berpangkat dapat diselesaikan dengan turunan fungsi aljabar.
Turunan fungsi aljabar diperoleh dengan menggunakan rumus-rumus berikut ini.
Bilangan konstanta jika diturunkan, maka hasilnya adalah nol. Secara matematis dapat dituliskan:
Turunan dari fungsi eksponen terbagi menjadi beberapa bagian, diantaranya:
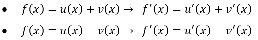
Turunan dari dua fungsi yang saling dijumlahkan dan dikurangi dapat dirumuskan sebagai berikut:
Perkalian turunan fungsi terbagi menjadi dua macam, yaitu perkalian fungsi dengan bilangan skalar dan perkalian dua fungsi.
Turunan dari perkalian fungsi dengan bilangan skalar dapat dirumuskan:
Berbeda dengan turunan penjumlahan dan pengurangan dua fungsi, turunan dari perkalian dua fungsi harus mencari turunan dari masing-masing fungsi yang kemudian disubstitusikan pada rumus:
Hampir sama dengan perkalian, turunan dari pembagian dua fungsi harus menurunkan masing-masing fungsi. Kemudian, substitusikan pada rumus turunan pembagian sebagai berikut:
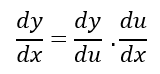
Aturan rantai pada turunan suatu fungsi merupakan turunan yang dilakukan berturut-turut pada suatu fungsi. Aturan rantai secara matematis dituliskan sebagai berikut:
Misalkan u adalah fungsi dalam x dan y, dimana u terdiferensialkan, sehingga:
Punya PR tapi nggak bisa ngerjain?
Setelah mempelajari tentang rumus-rumus turunan, Sobat Pintar juga perlu mempelajari mengenai penerapan turunan. Ternyata turunan juga bisa diterapkan dalam materi yang lain. Beberapa penerapan turunan fungsi, yaitu :
Salah satu cara untuk membuat sebuah persamaan garis singgung adalah dengan menggunakan gradien atau kemiringan dari garis tersebut. Gradien suatu fungsi f(x) yang melalui titik A (a,f(a)) dapat ditentukan dengan menggunakan turunan dengan rumus: m = f’(a).
Aplikasi turunan yang lainnya adalah menentukan kemonotonan suatu fungsi. Maksudnya, Sobat pintar dapat mengetahui suatu fungsi naik atau turun pada interval tertentu.
Titik stasioner disebut juga titik kritis, titik ekstrim, atau titik balik. Titik stasioner merupakan sebuah titik pada kurva dengan gradien dari garis singgung kurva bernilai 0 (nol).
Jika fungsi f(x) kontinu dan terdiferensial, maka f(a) dikatakan NILAI STASIONER dari f(x) jika dan hanya jika f’(a)=0.
Sebelum menentukan nilai maksimum dan minimum, Sobat Pintar harus tahu cara menentukan titik maksimum dan minimum terlebih dahulu.
Titik maksimum atau minimum suatu fungsi f(x) pada interval [a,b] dapat ditentukan dengan langkah-langkah berikut:
1). Penuhi syarat nilai stasioner, yaitu f’(a) = 0 dan f’(b) = 0
2). Tentukan jenis stasionernya (titik maksimum, titik belok, atau titik minimum) dengan menggunakan turunan kedua fungsi tersebut, yaitu:
- Jika f’’(a) < 0 maka f(a) adalah nilai balik maksimum fungsi f
- Jika f’’(a) > 0 maka f(a) adalah nilai balik minimum fungsi f
- Jika f’’(a) = 0 maka f(a) bukan nilai ekstrim fungsi f
3). Substitusi nilai variabelnya ke fungsi awal, sehingga diperoleh nilai maksimum atau minimumnya.
Nilai maksimum atau minimum suatu fungsi yang kontinu dan diferensiabel pada setiap titik di interval [a,b] dapat terjadi pada:
- Titik stasioner yang berada pada interval [a,b]
- Titik ujung interval
Dalam menentukan nilai maksimum atau minimum suatu fungsi dapat dilakukan melalui langkah-langkah berikut:
1). Menentukan titik stasioner pada fungsi f(x) yang berada pada interval [a,b]
2). Menentukan nilai fungsi pada ujung interval, yaitu f(a) dan f(b)
3). Membandingkan nilai fungsi pada langkah 1 dan 2. Nilai yang terbesar adalah nilai maksimum, sedangkan nilai terkecil adalah nilai minimum
Wah, nggak nyangka ya, ternyata turunan juga digunakan dalam rumus Fisika yang sering kita jumpai, yaitu kecepatan dan percepatan.
Jika diketahui sebuah benda bergerak menempuh jarak s = f(t), maka kecepatan dan percepatan benda tersebut dapat dirumuskan sebagai berikut:
- Kecepatan benda saat t detik (turunan pertama). Rumus turunan pertama yaitu:
- Percepatan benda saat t detik (turunan kedua). Rumusnya ialah:
Nah, setelah mengikuti pembahasan mengenai turunan, Sobat Pintar dapat mengerjakan latihan soal-soal turunan pada aplikasi Aku Pintar. Jadi, jangan lupa download aplikasi Aku Pintar di Play Store atau App Store untuk mempelajari materi lengkap mengenai turunan, ya!
Writer: Sophia Maulidatul Adha
Editor: Deni Purbowati
ArtikelTerkaitV3
Mitos vs Fakta Jurusan Kedokteran: Benarkah Hanya untuk Oran
Jurusan Kedokteran selalu menjadi salah satu program studi paling populer dan bergengsi di Indonesia. Namun, banyak mitos yang beredar seputar jurusan ini, mulai dari anggapan bahwa hanya orang kaya yang bisa masuk hingga rumor mistis tentang praktikum ma...
Baca Selengkapnya
QRIS: Kebanggaan Indonesia yang Bikin Amerika Ketar-Ketir! I
Sobat Pintar, pernah nggak sih kamu bayangkan kalau teknologi pembayaran digital buatan Indonesia bisa bikin negara adidaya seperti Amerika Serikat ketar-ketir? Yap, itu bukan mimpi! QRIS (Quick Response Code Indonesian Standard) adalah sistem pembayaran ...
5 Destinasi Healing Terbaik untuk Siswa Setelah Ujian, Bikin
Hai, Sobat Pintar! Sudah lelah dengan segudang ujian yang bikin kepala pusing? Tenang, kamu berhak untuk healing sejenak sebelum melanjutkan perjalanan akademismu. Nah, kali ini Aku Pintar kasih rekomendasi destinasi healing terbaik buat kamu yang baru sa...
Hai Sobat Pintar,
Yuk Cobain Aplikasi Aku Pintar Sekarang Juga!
Jutaan siswa sudah menemukan minat, bakat dan kampus impian bersama Aku Pintar. Sekarang giliran kamu Sobat!
BannerPromoBlog