Materi Fisika - Gelombang, Bunyi, dan Cahaya Kelas 11 - Belajar Pintar
BelajarPintarV3
Peta Belajar Bersama
Halo Sobat Pintar, ini nih apa saja yang akan kita pelajari pada Bab ini..

Jenis - Jenis Gelombang

Halo Sobat Pintar! Gelombang adalah fenomena yang menjalar dan sering kita temui dalam kehidupan sehari-hari, seperti riakan di permukaan air, cahaya, dan bunyi. Internet juga menggunakan gelombang radio untuk menghantarkan informasi.
Gelombang memiliki muka gelombang yang merupakan tempat sekumpulan titik dengan fase yang sama. Panjang gelombang (λ), amplitudo (A), periode (T), dan frekuensi (f) adalah beberapa besaran yang terkait dengan gelombang.
Jenis-jenis gelombang berdasarkan arah getaran dan arah rambatnya antara lain gelombang longitudinal dan gelombang transversal. Gelombang longitudinal memiliki arah getaran berimpit dengan arah rambatnya, seperti gelombang bunyi. Gelombang transversal memiliki arah getaran tegak lurus dengan arah rambatnya, seperti gelombang pada tali dan cahaya. Ada juga gelombang seismik (gempa) yang memiliki arah getaran tegak lurus dan searah dengan arah rambatannya.
Gelombang juga dapat dibedakan berdasarkan perantara rambatannya menjadi gelombang mekanik dan gelombang elektromagnetik. Gelombang mekanik memerlukan medium untuk merambat, seperti bunyi dan gempa, sementara gelombang elektromagnetik tidak memerlukan medium, seperti cahaya dan gelombang radio.
Cepat Rambat Bunyi

Sobat Pintar! Musik adalah kombinasi dari frekuensi dan amplitudo benda-benda yang bergetar. Bunyi merambat melalui medium seperti padat, cair, atau gas, dan kecepatan bunyi dalam medium dipengaruhi oleh sifat elastisitas dan massa jenisnya.
- Cepat rambat bunyi pada zat padat dihitung dengan akar perbandingan modulus elastisitas (E) terhadap massa jenis (ro) bahan tersebut.

- Pada benda cair, cepat rambat bunyi dipengaruhi oleh modulus Bulk (B) dan massa jenis (ro) benda.

- Pada gas, kecepatan molekul dipengaruhi oleh suhu, dan modulus Bulk pada udara bergantung pada tekanan dan keadaan adibatik. Persamaan gas ideal juga berperan dalam menghitung cepat rambat bunyi pada gas.

Interferensi Cahaya

Saat Sobat melihat pelangi di langit biru, ada beberapa fenomena cahaya yang bisa dijelaskan dengan sifat gelombang. Pelangi terjadi karena cahaya polikromatis (banyak warna) dari matahari mengalami penguraian menjadi cahaya monokromatis (satu warna) melalui pemantulan dan pembiasan pada tetesan air di atmosfer, seperti pada Gambar 5.29. Selain itu, langit terlihat biru karena cahaya mengalami hamburan oleh partikel-partikel atmosfer.
Salah satu fenomena cahaya yang menarik adalah interferensi cahaya, seperti yang terjadi pada gelembung sabun dan sayap kupu-kupu, seperti pada Gambar 5.31. Interferensi terjadi ketika cahaya dari dua sumber yang koheren (bersamaan) bersuperposisi, membentuk pola gelap dan terang. Pola terang terjadi ketika gelombang memiliki beda fase 0, lamda, 2 lamda, dan seterusnya, sementara pola gelap terjadi ketika gelombang memiliki beda fase lamda/2, 3lamda/2, 5lamda/2, dan seterusnya.
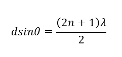
Percobaan interferensi cahaya dilakukan oleh Thomas Young, dan hasilnya dapat dijelaskan dengan persamaan berikut
- Interferensi konstruktif (saling menguatkan/membuat terang)

- Interferensi destruktif (saling melemahkan/membuat gelap)

yang menghubungkan lebar celah (d), sudut simpangan (0), dan panjang gelombang (A) dengan pola gelap/terang ke-n. Interferensi cahaya ini memiliki peran penting dalam menciptakan efek warna pada gelembung sabun, sayap kupu-kupu, dan banyak fenomena cahaya lainnya yang indah.
footer_v3
Bersama Aku Pintar temukan jurusan kuliah yang tepat
sesuai minat dan bakatmu.
Aku Pintar memiliki visi membuat pendidikan merata, mudah dijangkau, dan terjangkau dengan Program Journey Pintar yang merupakan sebuah program persiapan lengkap bagi siswa SMA/SMK/sederajat yang ingin masuk ke perguruan tinggi impiannya.
Kontak Kami
Grand Slipi Tower Lt. 42
Jl. S. Parman Kav 22-24
Jakarta Barat
© 2024 Aku Pintar. All Rights Reserved