Materi Fisika - Kinematika Kelas 11 - Belajar Pintar
BelajarPintarV3
Peta Belajar Bersama
Halo Sobat Pintar, ini nih apa saja yang akan kita pelajari pada Bab ini..

Perpindahan dan Jarak

Sobat Pintar! Perpindahan adalah konsep dalam fisika yang mengacu pada perubahan posisi dari suatu objek, yaitu perbedaan antara posisi awal dan posisi akhir objek tersebut. Dalam perpindahan, yang menjadi perhatian hanyalah posisi awal dan posisi akhir objek, tanpa memperhatikan jalur atau lintasan yang ditempuh oleh objek tersebut.
Sementara itu, jarak mengacu pada panjang lintasan yang ditempuh oleh objek dari posisi awal hingga posisi akhir. Jarak adalah besaran skalar karena hanya mencakup panjang tanpa memperhatikan arah. Dengan kata lain, jarak mengukur seberapa jauh atau panjangnya perjalanan objek dari titik awal ke titik akhir tanpa memperhatikan arah yang ditempuh.
Jadi, perbedaan utama antara perpindahan dan jarak adalah bahwa perpindahan berfokus pada perubahan posisi antara titik awal dan akhir objek, sedangkan jarak berfokus pada panjang lintasan atau seberapa jauh objek tersebut bergerak tanpa memperhatikan arahnya.
Gerak Lurus Beraturan (GLB)

Hai Sobat Pintar, Gerak benda dapat dibedakan berdasarkan bentuk lintasannya menjadi tiga jenis, yaitu gerak lurus, gerak lengkung (parabola/peluru), dan gerak melingkar. Gerak lurus adalah gerak suatu benda yang lintasannya berupa garis lurus.
Gerak lurus beraturan (GLB) didefinisikan sebagai gerak suatu benda dengan kecepatan tetap, baik itu besarnya maupun arahnya. Sebagai contoh, jika sebuah mobil bergerak dengan kecepatan tetap 50 km/jam, berarti setiap jam mobil tersebut berpindah sejauh 50 km. Jika selama bergerak arahnya tetap, maka dapat dikatakan bahwa mobil tersebut menempuh jarak sejauh 50 km setiap jam.
Pada Gerak Lurus Beraturan, tidak terdapat kecepatan sesaat karena kecepatannya selalu tetap. Oleh karena itu, kecepatan rata-rata juga sama dengan kecepatan sesaat.
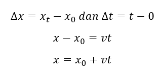
Untuk posisi awal x, pada saat t = 0 maka


Pengertian Gerak Melingkar Beraturan (GMB)


Tahukah Sobat Pintar, Apa Itu Gerak Melingkar Beraturan ?
Gerak Melingkar Beraturan (GMB) adalah gerak melingkar yang memiliki kecepatan sudut konstan (tetap). Gerak Melingkar itu sendiri adalah gerak yang lintasannya berupa lingkaran, sedangkan kecepatan sudut atau yang juga sering disebut dengan kecepatan anguler adalah sudut yang ditempuh oleh sebuah titik yang bergerak di tepi lingkaran dalam satuan waktu tertentu. Arah dari kecepatan sudut pada GMB searah dengan arah dari kecepatan linearnya.
Kecepatan sudut dari gerak melingkar beraturan memang tetap, tetapi arah kecepatan sudutnya berbeda – beda karena gerak benda dipengaruhi oleh gaya yang membelokkan benda tersebut, gaya ini disebut dengan gaya sentripetal. Karena arah kecepatan yang berbeda ini, maka terdapat arah percepatan yang berubah-ubah pada GMB. Percepatan yang dipengaruhi oleh gaya sentripetal ini disebut dengan percepatan sentripetal, arah percepatan tersebut selalu menuju titik pusat lingkaran tetapi besar percepatan sentripetal tetap sama karena tidak terjadi perubahan kecepatan sudut benda.
Ciri – Ciri Gerak Melingkar Beraturan (Gmb)
- Memiliki lintasan yang berupa lingkaran.
- Dipengaruhi oleh gaya sentripetal.
- Memiliki kecepatan sudut yang tetap (konstan)
- percepatan sentripetal yang berubah – ubah.
Pengertian Gerak Parabola


Tahukah Sobat Pintar, Apa Itu Gerak Parabola ?
Gerak Parabola merupakan resultan dari gerak lurus beraturan pada sumbu X dan gerak lurus berubah beraturan pada sumbu Y. Gerak parabola merupakan salah satu contoh gerak pada bidang datar. Sebagai contoh gerak parabola adalah gerakan peluru yang ditembakan dari sebuah meriam dengan kecepatan awal tertentu dan dengan sudut kecondongan tertentu pula. Ternyata lintasan yang dilalui oleh peluru berupa lintasan melengkung yang disebut gerak parabola.
footer_v3
Bersama Aku Pintar temukan jurusan kuliah yang tepat
sesuai minat dan bakatmu.
Aku Pintar memiliki visi membuat pendidikan merata, mudah dijangkau, dan terjangkau dengan Program Journey Pintar yang merupakan sebuah program persiapan lengkap bagi siswa SMA/SMK/sederajat yang ingin masuk ke perguruan tinggi impiannya.
Kontak Kami
Grand Slipi Tower Lt. 42
Jl. S. Parman Kav 22-24
Jakarta Barat
© 2024 Aku Pintar. All Rights Reserved