Materi Matematika Wajib - Trigonometri Kelas 10 MIA - Belajar Pintar
BelajarPintarV3
Peta Belajar Bersama
Halo, Sobat Pintar!
Sebelum kita belajar tentang Trigonometri, coba perhatikan peta belajar bersama di bawah ini!

Ukuran Sudut


Sumber: Unsplash
Sobat Pintar pernah bermain layang-layang, bukan?
Kalian pernah menerbangkan layang-layang setinggi apa, Sobat?
Wah, pasti seru sekali kalau kita bisa tahu tinggi dari layang-layang yang kita terbangkan!
Nah, Sobat Pintar bisa menghitung tinggi layang-layang yang kalian terbangkan dengan menggunakan trigonometri, lho!
Sebelum kita membahas mengenai trigonometri, satuan yang digunakan untuk menyatakan besarnya suatu sudut itu apa ya, Sobat?
Yap! Benar sekali, seperti yang kita ketahui, satuan yang digunakan untuk menyatakan besarnya suatu sudut adalah derajat.
Namun, terdapat ukuran lain yang dapat digunakan untuk menentukan besarnya suatu sudut, yaitu radian.
Nah dalam trigonometri, kita akan menggunakan kedua ukuran tersebut, derajat dan radian, untuk menentukan besarnya suatu sudut.
Derajat yang biasa disimbolkan dengan “o”. Satu putaran penuh lingkaran sama dengan 360o atau 1o didefinisikan sebagai sudut yang dibentuk oleh 1/360 putaran penuh. Ukuran sudut yang lebih kecil dari derajat adalah menit (') dan detik (").
Hubungan ukuran sudut menit, detik, dan derajat dapat dinyatakan sebagai berikut:

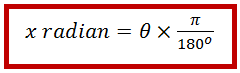
Selain derajat, ukuran sudut yang lainnya adalah radian. Satu radian adalah ukuran sudut pusat lingkaran yang memotong busur yang panjangnya sama dengan radius lingkaran. Karena radius diukur dalam satuan radius (r) pada busur suatu lingkaran dan satu lingkaran penuh adalah 2.phi.r, maka dalam satu lingkaran terdapat 2phi radian
Hubungan ukuran sudut derajat dengan radian dapat dinyatakan sebagai berikut:

KONVERSI UKURAN SUDUT DERAJAT KE RADIAN

KONVERSI UKURAN SUDUT RADIAN KE DERAJAT

Agar lebih paham lagi, yuk kita simak contoh soal berikut ini!
CONTOH 1: Mengubah Radian ke Derajat
Jawablah soal di bawah ini dengan tepat!

Pembahasan
Untuk mengubah radian ke dalam derajat maka menggunakan rumus

Maka:

CONTOH 2: Mengubah Sudut ke Radian
Jawablah soal di bawah ini dengan tepat!
Besar derajat untuk sudut 70º30' adalah….
Pembahasan

Identitas Trigonometri

Siapa nih yang merasa kesulitan dalam memahami materi trigonometri?
Setelah mempelajari mengenai perbandingan trigonometri, kalian juga harus tahu mengenai identitas trigonometri.
Nah kalo Sobat Pintar sudah paham dan hafal identitas trigonometri, kalian pasti tidak akan merasa kesulitan lagi!
Sebenarnya identitas trigonometri itu apa sih?
Identitas merupakan suatu persamaan yang berlaku untuk semua nilai pengganti peubahnya. Identitas yang memuat perbandingan trigonometri disebut identitas trigonometri. Sebuah identitas trigonometri dapat ditunjukkan kebenarannya dengan cara berikut:
- Mengubah salah satu ruas, sehingga diperoleh bentuk yang sama dengan ruas lainnya.
- Mengubah masing-masing ruas sehingga diperoleh bentuk yang sama.

Materi Matematika Wajib SMA - 10 MIA Lainnya
footer_v3
Bersama Aku Pintar temukan jurusan kuliah yang tepat
sesuai minat dan bakatmu.
Aku Pintar memiliki visi membuat pendidikan merata, mudah dijangkau, dan terjangkau dengan Program Journey Pintar yang merupakan sebuah program persiapan lengkap bagi siswa SMA/SMK/sederajat yang ingin masuk ke perguruan tinggi impiannya.
Kontak Kami
Grand Slipi Tower Lt. 42
Jl. S. Parman Kav 22-24
Jakarta Barat
© 2024 Aku Pintar. All Rights Reserved