Materi Fisika - Hukum Newton tentang Gravitasi Kelas 10 MIA - Belajar Pintar
BelajarPintarV3
Peta Belajar Bersama
Sobat, ini nih ada Peta Belajar Bersama Fisika untuk bab delapan

Yuk, mulai belajar bersama!
Pengantar Hukum Newton tentang Gravitasi


Sumber: https://www.kompasiana.com/
Sobat Pintar, di materi sebelumnya kita sudah mempelajari gaya sentuhan/kontak dan gaya tidak sentuh. Gaya sentuhan terdiri dari gaya normal (N), gaya gesekan (fg) ataupun gaya dorong itu sendiri. Sedangkan untuk gaya tak sentuh disebut juga dengan gaya medan ini muncul walaupun benda tidak bersentuhan contohnya gaya listrik, gaya magnet, dan gaya gravitasi.
Nah, sebelum mengungkapkan konsep gravitasi nya, Newton sebelumnya menyelidiki gerak-gerak benda angkasa, yaitu planet dan bulan. Dalam penyelidikan itu, Newton menyadari bahwa harus ada gaya pada bulan sehingga bulan tetap berada pada orbitnya mengitari bumi. Jika gaya ini tidak ada pada bulan maka bulan akan bergerak pada lintasan lurus. Pada suatu cerita, suatu ketika Newton sedang duduk bersantai di taman rumahnya dan memperhatikan sebuah apel yang jatuh dari pohon nya. Hal inilah yang menginspirasi Newton membahas ide gravitasi yang selalu di pikirkan selama ini.
Gaya gravitasi merupakan gaya yang ditimbulkan akibat adanya tarikan gravitasi bumi. Gaya gravitasi umumnya akan membuat benda jatuh ke permukaan bumi. Gaya gravitasi sering disebut dengan gaya berat atau gaya tarik bumi. Contoh dari adanya gaya gravitasi seperti bola yang dilempar ke atas, akan cenderung jatuh ke bawah. Kemudian, buah yang sudah matang di atas pohon, akan jatuh ke bawah.
Kuat Medan Gravitasi

Sobat Pintar, kita sudah mempelajari terkait Gaya Gravitasi sekarang yuk kita lanjut ke topik terkait Medan Gravitasi!
Medan gravitasi adalah ruang yang masih dipengaruhi oleh gaya gravitasi. Besaran yang menyatakan medan gravitasi disebut kuat medan gravitasi (g), yaitu gaya gravitasi tiap satuan massa.
Kuat medan gravitasi (g) merupakan besaran vektor, yaitu medan yang setiap titiknya memiliki nilai dan arah. Garis-garis medan gravitasi (g) merupakan garis-garis bersambungan (kontinu) yang selalu mengarah menuju ke massa sumber medan gravitasi.

Sumber: https://mechanicaltopdc.blogspot.com/
Kuat medan gravitasi (g) pada titik apapun dalam suatu ruang didefinisikan sebagai gaya gravitasi (F) per satuan massa pada bermassa uji (M). Secara matematis dapat dituliskan sebagai berikut:

Kuat medan gravitasi terletak pada satu garis hubung yang menghubungkan titik kerja dan pusat massa sumber benda (M) dan arahnya selalu menuju ke pusat massa sumber benda (M). Berdasarkan analisa di atas, dapat disimpulkan bahwa medan gravitasi sama dengan percepatan gravitasi (g).
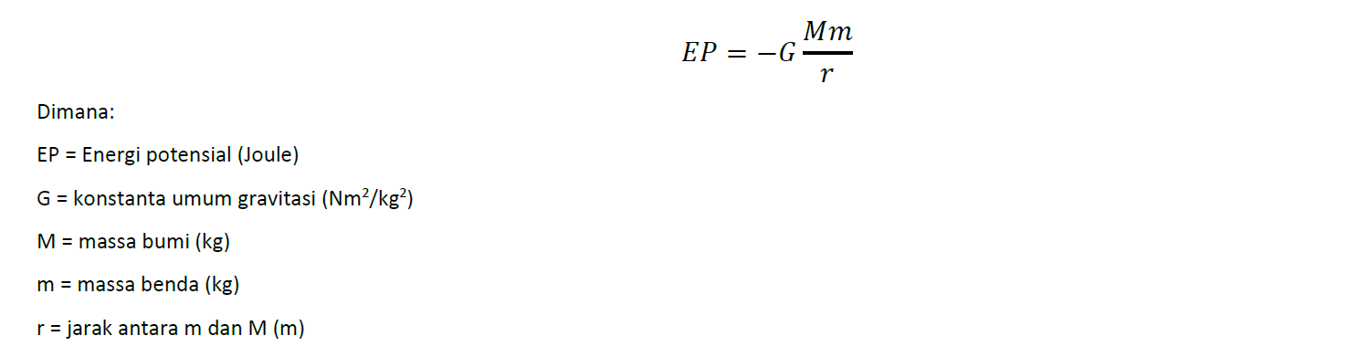
Pengertian Energi Potensial Gravitasi

Energi potensial gravitasi adalah usaha yang diperlukan untuk memindahkan suatu benda dari titik yang terletak di jauh tak terhingga ke suatu titik tertentu terhadap sumber medan gravitasi.
Besarnya energi potensial dari sebuah benda bermassa m yang berjarak r dari bumi yang massanya M adalah:

Tanda negatif (-) menunjukan bahwa makin jauh dari suatu massa planet, energi potensialnya makin besar. Dengan kata lain untuk memindahkan benda bermassa m dari titik yang berjarak r dari bumi ke titik di jauh tak terhingga diperlukan energi.

Sumber: https://www.wardayacollege.com/
Sejarah


Sumber: softilmu.com
Hukum Kepler ditemukan oleh Johannes Kepler yang merupakan seorang matematikawan dan astronom asal Jerman. Sebelum Kepler mengemukakan hukumnya tentang gerak planet yang mengelilingi matahari, manusia zaman dahulu menganut paham geosentris yakni paham yang membenarkan bahwa bumi adalah pusat alam semesta. Menurut Claudius Ptolomeus seorang astronom Yunani, bumi berada di pusat tata surya dan matahari beserta planet-planet mengelilingi bumi pada lintasan melingkar.
Tahun 1543 astronom asal Polandia bernama Nicolaus Copernicus mengemukakan model heliosentris yakni bumi beserta planet-planet lainnya yang mengelilingi matahari pada lintasan melingkar. Namun kedua model tersebut masih memiliki kekurangan yaitu tidak ada keselarasan antara lintasan dan orbit planet. Kemudian pada tahun 1609 Kepler menemukan bentuk orbit yang lebih cocok yaitu berbentuk elips bukan lingkaran dan menjelaskannya dalam tiga Hukum Kepler.
Materi Fisika SMA - 10 MIA Lainnya
Hakikat Fisika
5 Sub Bab Materi
Pengukuran
10 Sub Bab Materi
Vektor
4 Sub Bab Materi
Gerak Lurus
3 Sub Bab Materi
Gerak Parabola
2 Sub Bab Materi
Gerak Melingkar Beraturan (GMB)
2 Sub Bab Materi
Hukum Newton tentang Gerak
4 Sub Bab Materi
Usaha dan Energi
3 Sub Bab Materi
Momentum dan Impuls
4 Sub Bab Materi
Getaran Harmonis Sederhana
3 Sub Bab Materi
footer_v3
Bersama Aku Pintar temukan jurusan kuliah yang tepat
sesuai minat dan bakatmu.
Aku Pintar memiliki visi membuat pendidikan merata, mudah dijangkau, dan terjangkau dengan Program Journey Pintar yang merupakan sebuah program persiapan lengkap bagi siswa SMA/SMK/sederajat yang ingin masuk ke perguruan tinggi impiannya.
Kontak Kami
Grand Slipi Tower Lt. 42
Jl. S. Parman Kav 22-24
Jakarta Barat
© 2024 Aku Pintar. All Rights Reserved