Materi Fisika - Momentum dan Impuls Kelas 10 MIA - Belajar Pintar
BelajarPintarV3
Peta Belajar Bersama
Sobat, ini nih ada Peta Belajar Bersama Fisika untuk bab sepuluh

Yuk, mulai belajar bersama!
Pengertian Momentum


Sumber: https://cirill.net/
Bila kamu berada di dalam sebuah bus yang sedang bergerak cepat, kemudian direm mendadak, kamu merasakan bahwa badan kamu terlempar ke depan. Hal ini akibat adanya sifat kelembaman, yaitu sifat untuk mempertahankan keadaan semula yaitu dalam keadaan bergerak. Hal yang sama juga dirasakan oleh si sopir yang berusaha mengerem bus tersebut. Apabila penumpang busanya lebih banyak, pada saat sopir bus memberhentikan/mengerem bus secara mendadak, harus memberikan gaya yang lebih besar. Dalam bab ini akan dibicarakan mengenai momentum, yang merupakan salah satu besaran yang dimiliki oleh setiap benda yang bergerak. Di dalam fisika, dikenal dua macam momentum, yaitu momentum linear (p) dan momentum angular (L). Pada materi ini hanya akan dibahas momentum linear. Selain momentum linear akan dibahas juga besaran Impuls gaya (I) dan hukum kekekalan momentum linear, serta tumbukan.
Istilah momentum yang akan dipelajari pada bab ini adalah momentum linear (p), yang didefinisikan sebagai berikut: Momentum suatu benda yang bergerak adalah hasil perkalian antara massa benda dan kecepatannya. Oleh karena itu, setiap benda yang bergerak memiliki momentum. Secara matematis, momentum linear ditulis sebagai berikut:

Keterangan:
p = momentum (besaran vektor),
m = massa (besaran skalar), dan
v = kecepatan (besaran vektor).
Bila dilihat persamaan, arah dari momentum selalu searah dengan arah kecepatannya.
Berdasarkan rumus diatas dapat kita tarik kesimpulan bahwa momentum benda akan semakin besar ketika massa benda dan kecepatan benda semakin besar. Hal ini juga akan berlaku sebaliknya semakin kecil massa atau kecepatan benda maka akan semakin kecil pula momentumnya. Dalam ilmu fisika ada yang namanya hukum kekekalan momentum yang berbunyi “momentum sebelum dan sesudah tumbukan akan selalu sama".
Misalkan ada dua benda yang memiliki kecepatan dan massa masing – masing mengalami tumbukan dan setelah tumbukan masing – masing benda akan memiliki kecepatan yang berbeda maka menurut ilmu fisika hukum kekekalan momentum. pada setiap jenis tumbukan yang terjadi antara kedua benda akan selalu berlaku hukum kekekalan momentum baik itu pada tumbukan lenting sebagian, tumbukan lenting sempurna atau bahkan pada tumbukan tidak lenting sama sekali. Secara sistematis hukum kekekalan momentum dapat ditulis seperti berikut:
![]()
Jadi Sobat Pintar, Setiap benda yang bergerak pasti memiliki momentum. Momentum bisa juga didefinisikan sebagai tingkat kesukaran untuk menghentikan gerak suatu benda.
Pengertian Impuls


Sumber: https://www.wuanjrotbray.xyz/
Sobat Pintar, apakah kamu suka bermain sepak bola? Nah ketika kamu bermain sepak bola itu juga menerapkan konsep impuls loh!
Berdasarkan gambar di atas, pada bola diberikan gaya sentuh (F) dengan selang waktu (t) yang sangat singkat , sehingga menghasilkan efek pada bola tersebut semakin besar.
Jika diberikan gaya (F) yang sama tetapi selang waktu sentuh (t) yang lebih lama maka akan menimbulkan efek pada bola tersebut kurang maksimal dibandingkan pada keadaan pertama. Efek dari pemberian gaya rata-rata F pada suatu benda dalam selang waktu (t) tertentu inilah yang disebut sebagai Impuls (I).
Jadi Impuls merupakan gaya kontak rata-rata F yang bekerja pada suatu benda yang terjadi dalam selang waktu yang sangat singkat
Impuls didefinisikan sebagai hasil kali antara gaya dan lamanya gaya tersebut bekerja. Secara matematis dapat ditulis:

Keterangan:
I = Impuls (N.s)
F = Gaya impulsif (N)
t = Waktu sentuhan antara gaya dan benda (s)
Besar gaya disini konstan. Bila besar gaya tidak konstan maka penulisannya akan berbeda (akan dipelajari nanti). Oleh karena itu dapat menggambarkan kurva yang menyatakan hubungan antara F dengan t. Bila pada benda bekerja gaya konstan F dari selang waktu t1 ke t2 maka kurva antara F dan t adalah

Sumber: http://egajuniawan1.blogspot.com/
Luasan yang diarsir sebesar Fx (t2 – t1) atau I, yang sama dengan Impuls gaya. Impuls gaya merupakan besaran vektor, oleh karena itu perhatikan arahnya
Impuls memiliki satuan:
Satuan Impuls I = satuan gaya x satuan waktu
Satuan I = newton x sekon = N . s = kg . m/s2 . s =kg . m/s
Tumbukan dan Hukum Kekekalan Momentum

Sobat Pintar, sekarang kuy kita lanjut ke materi berikutnya.
Pada sebuah tumbukan selalu melibatkan paling sedikit dua buah benda. Misal bola billiard 1 dan 2. Sesaat sebelum tumbukan bola 1, bergerak mendatar ke kanan dengan momentum m1v1 , dan bola 2 bergerak kekiri dengan momentum m2v2.

Sumber: https://www.ayo-sekolahfisika.com/
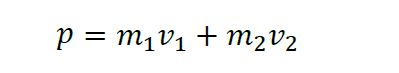
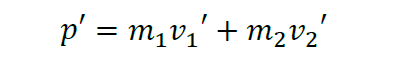
Momentum sebelum tumbukan adalah:

dan momentum sesudah tumbukan

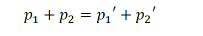
Sesuai dengan hukum kekekalan energi maka pada momentum juga berlaku hukum kekekalan dimana momentum benda sebelum dan sesudah tumbukan sama.
Oleh karena itu dapat diambil kesimpulan bahwa pada peristiwa tumbukan, jumlah momentum benda-benda sebelum dan sesudah tumbukan tetap asalkan tidak ada gaya luar yang bekerja pada benda-benda tersebut.
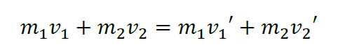
Pernyataan ini yang dikenal sebagai Hukum Kekekalan Momentum Linier. Secara matematis untuk dua benda yang bertumbukan dapat dituliskan:

atau

Jika ada dua benda yang bertumbukan dan tidak ada gaya luar yang bekerja pada benda-benda, maka berlaku hukum kekekalan momentum. Akan tetapi energi kinetik totalnya biasanya berubah. Hal ini akibat adanya perubahan energi kinetik menjadi bentuk kalor dan atau bunyi pada saat tumbukan. Jenis tumbukan ini disebut tumbukan tidak lenting sebagian. Bila setelah tumbukan kedua benda bergabung, disebut tumbukan tidak lenting sempurna. Ada juga tumbukan dengan energi kinetik total tetap. Tumbukan jenis ini disebut tumbukan lenting (sempurna). Jadi secara garis besar jenis- jenis tumbukan dapat diklasifikasikan ke dalam:
1. Tumbukan lenting (sempurna)
2. Tumbukan tidak lenting sebagian
3. Tumbukan tidak lenting sempurna
Materi Fisika SMA - 10 MIA Lainnya
Hakikat Fisika
5 Sub Bab Materi
Pengukuran
10 Sub Bab Materi
Vektor
4 Sub Bab Materi
Gerak Lurus
3 Sub Bab Materi
Gerak Parabola
2 Sub Bab Materi
Gerak Melingkar Beraturan (GMB)
2 Sub Bab Materi
Hukum Newton tentang Gerak
4 Sub Bab Materi
Hukum Newton tentang Gravitasi
5 Sub Bab Materi
Usaha dan Energi
3 Sub Bab Materi
Getaran Harmonis Sederhana
3 Sub Bab Materi
footer_v3
Bersama Aku Pintar temukan jurusan kuliah yang tepat
sesuai minat dan bakatmu.
Aku Pintar memiliki visi membuat pendidikan merata, mudah dijangkau, dan terjangkau dengan Program Journey Pintar yang merupakan sebuah program persiapan lengkap bagi siswa SMA/SMK/sederajat yang ingin masuk ke perguruan tinggi impiannya.
Kontak Kami
Grand Slipi Tower Lt. 42
Jl. S. Parman Kav 22-24
Jakarta Barat
© 2024 Aku Pintar. All Rights Reserved