Materi Fisika - Inti Atom dan Radioaktivitas Kelas 12 MIA - Belajar Pintar
BelajarPintarV3
Peta Belajar Bersama
Sobat, ini nih ada Peta Belajar Bersama Fisika untuk bab sepuluh.

Yuk, mulai belajar bersama!
Pengertian Inti Atom

Atom adalah partikel terkecil dari suatu materi hidup/tidak hidup. Contoh materi dalam kasus ini yaitu pensil, yang mempunyai ruang dan massa. Intinya, semua materi pasti tersusun atas kumpulan atom. Nah, untuk penjelasan lebih lanjut mengenai inti atom, simak penjelasan berikut ya!
Inti atom tersusun atas proton dan neutron yang jaraknya saling berdekatan. Proton adalah partikel penyusun yang bermuatan listrik positif, dan neutron adalah partikel yang tidak bermuatan atau netral. Kedua partikel pembentuk inti atom ini disebut juga nukleon.

Secara umum lambang atom dituliskan:

X = Nama unsur atom
Z = Nomor atom, dimana menyatakan jumlah elektron dan jumlah proton
A = Nomor massa, menyatakan jumlah proton dan neutron
N = A-Z disebut dengan jumlah neutron dalam inti
Dalam inti atom, ada beberapa istilah yang perlu kita ketahui sobat, diantaranya :
- Isotop, yaitu inti-inti yang memiliki nomor atom sama
- Isoton, yaitu inti-inti yang memiliki jumlah neutron sama
- Isobar, yaitu inti-inti yang memiliki nomor massa sama
Yuk! Belajar lagi dipenjelasan berikutnya agar sobat pintar lebih memahami materi Inti Atom
Pengertian Radioaktivitas

Radioaktivitas adalah pemancaran sinar radioaktif secara spontan oleh inti-inti (inti induk) tidak stabil menjadi inti-inti yang lebih stabil (inti anak). Zat-zat radioaktif yang terdapat di alam antara lain uranium, polonium, dan radium. Beberapa unsur lain memiliki isotop yang bersifat radioaktif. Unsur-unsur tersebut disebut radioisotop.

Reaksi Inti

Reaksi inti adalah proses perubahan yang terjadi di inti atom, karena reaksi ini inti atom dapat memancarkan zat radioaktif sehingga terbentuk inti atom baru. Perubahan itu karena peristiwa peluruhan, penggabungan, atau pecah akibat benturan.
Reaksi peluruhan menggambarkan berubahnya inti atom menjadi inti atom baru dengan memancarkan partikel radiasi. Persamaan reaksi peluruhan mudah dikenali dari bentuk perubahan inti atom seperti contoh berikut ini.
Peluruhan Alfa

Pada peluruhan alpha melepas dua proton dan dua neutron sekaligus.
Peluruhan Beta

Pada peluruhan beta terjadi perubahan neutron menjadi proton
Peluruhan Beta Positif

Pada peluruhan beta positif terjadi perubahan proton menjadi neutron
Peluruhan Sinar Gamma
![]()
Pada peluruhan gamma tidak ada proton atau neutron yang berubah. Biasanya peluruhan gamma bersamaan dengan peluruhan lainnya
Nah sekarang kita lanjut ke reaksi Fisi dan Fusi ya Sobat Pintar !
Reaksi fisi yaitu reaksi pembelahan inti atom berat menjadi dua inti atom lain yang lebih ringan dengan disertai timbulnya energi yang sangat besar.

Untuk membelah inti atom biasanya digunakan peluru neutron. Neutron dipilih karena tidak bermuatan listrik sehingga mampu menerobos masuk ke dalam inti tanpa hambatan elektrostatik oleh elektron di luar inti. Oleh karena itu bentuk reaksi fisi dicirikan adanya neutron di sisi kiri persamaan reaksi.
Berikut contoh reaksi fisi:
![]()
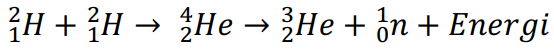
Reaksi fusi yaitu reaksi penggabungan dua inti atom ringan menjadi inti atom lain yang lebih berat dengan melepaskan energi. Reaksi fusi selalu terjadi setiap saat di Matahari, dimana neutron dan proton membentuk inti hidrogen dan Helium.

Contoh reaksi fusi dimana dua detron (1H2) bergabung membentuk Helium (2He4). Untuk selanjutnya Helium membentuk isotop baru dengan melepas netron. Persamaan reaksi dapat ditulis sebagai berikut
![]()
Reaksi nuklir (peluruhan, fisi, dan fusi) selalu menyertakan energi. Energi reaksi dihitung dengan kesetaran perubahan massa antara massa semula dengan massa sesudah kejadian. Jika ada selisih positif, maka reaksi menghasilkan energi, sedangkan selisihnya negatif, maka reaksi nuklir memerlukan energi.

Materi Fisika SMA - 12 MIA Lainnya
Rangkaian Arus Searah
3 Sub Bab Materi
Listrik Statis
4 Sub Bab Materi
Medan Magnetik
3 Sub Bab Materi
Induksi Elektromagnetik
2 Sub Bab Materi
Gelombang Elektromagnetik
3 Sub Bab Materi
Rangkaian Arus Bolak Balik
3 Sub Bab Materi
Fisika Modern
3 Sub Bab Materi
Teknologi Digital
3 Sub Bab Materi
Konsep dan Fenomena Kuantum
5 Sub Bab Materi
Sumber Energi
4 Sub Bab Materi
footer_v3
Bersama Aku Pintar temukan jurusan kuliah yang tepat
sesuai minat dan bakatmu.
Aku Pintar memiliki visi membuat pendidikan merata, mudah dijangkau, dan terjangkau dengan Program Journey Pintar yang merupakan sebuah program persiapan lengkap bagi siswa SMA/SMK/sederajat yang ingin masuk ke perguruan tinggi impiannya.
Kontak Kami
Grand Slipi Tower Lt. 42
Jl. S. Parman Kav 22-24
Jakarta Barat
© 2024 Aku Pintar. All Rights Reserved