Materi Matematika IPA - Statistika Kelas Umum - Belajar Pintar
BelajarPintarV3
Pengertian Statistika
Hai sobat pintar, pada modul kali ini kita akan mempelajari tentang materi statistika. Apakah statistika itu?
Statistika ialah ilmu yang mempelajari tentang bagaimana merencanakan, menganalisis, menginterpretasi, mengumpulkan dan mempresentasikan data sehingga bisa dikatakan bahwa Statistika merupakan ilmu yang berkenaan dengan data.
Tetapi Statistika dan Statistik merupakan dua hal yang berbeda karena Statistik adalah data, sedangkan Statistika adalah ilmu yg berkenaan dengan data yang dapat digunakan untuk mendeskripsikan atau menyimpulkan data dengan sebagian besar konsep dasarnya mengasumsikan Teori Probabilitas.
Adapun didalam Matematika bahwa Rumus Statistika Dasar ini akan hadir ditingkat Sekolah Menengah Atas (SMA) dan pelajaran Statistika Matematika tersebut meliputi Mean, Median, Modus, Jangkauan, Ragam dan Simpangan sehingga kalian sebagai Siswa dan Siswi tingkat Sekolah Menengah Atas harus benar – benar mengetahui tentang Statistika Matematika Dasar ini atau paling tidak mengenal tentang Mean, Modus dan Median didalam Statistika Dasar.
Kegiatan Statistika meliputi:
1. Mengumpulkan data
2. Menyusun data
3. Menyajikan data
4. Mengolah dan Menganalisis data
5. Menarik kesimpulan
6. Menafsirkan
nah... itulah sekilas mengenai statistika, yuk... lanjut ke materi berikutnya
Mean data tunggal
Pengertian dari Mean sendiri adalah nilai rata – rata hitung dan didalam Rumus Mean (Rumus Rataan Hitung) bisa dilakukan dengan cara membagi Jumlah Nilai data dg banyaknya data tersebut. Lalu Rumus Statistika Mencari Rataan Hitung tersebut memiliki tiga rumus yang terbagi antara lain :
1. Mean Data Tunggal

2. Mean data distribusi frekuensi

3. Mean data berkelompok

agar sobat pintar lebih memahami rumus-rumus di atas, perhatikan contoh di bawah ini kemudian kalian dapat mencoba beberapa latihannya
Contoh Soal :
1. Dari data tunggal berikut :
5, 6, 6, 6, 7, 7, 8, 9, 10
tentukanlah mean (rata-rata)!
Jawab :
Rata-rata hitung (mean) = jumlah semua nilai / banyak nilai
Rata-rata hitung (mean) = (5+3×6+2×7+8+9+10)/9
Rata-rata hitung (mean) = 64 / 9
Rata-rata hitung (mean) = 7,1
2. Data di bawah ini menunjukkan nilai ulangan matematika dari sekelompok siswa, tentukanlah nilai rata-rata (mean)!
| Nilai | 4 | 5 | 6 | 7 | 8 | 9 |
| Frekuensi | 3 | 4 | 7 | 6 | 3 | 2 |
Jawab :
Mean = (3×4+4×5+7×6+6×7+3×8+2×9)/(3+4+7+6+3+2)
Mean = 158 / 25 = 6,3
Median (Nilai tengah)
Sobat pintar, di modul sebelumnya kita telah mempelajari tentang rataan hitung atau mean. Sekarang kita lanjut ke materi tentang Median (nilai tengah).
Median adalah suatu nilai tengah yang telah diurutkan. Median dilambangkan Me.
1. Untuk menentukan nilai Median data tunggal dapat dilakukan dengan cara:
a) mengurutkan data kemudian dicari nilai tengah,
b) jika banyaknya data besar, setelah data diurutkan, digunakan rumus:

Contoh:
Tentukan median dari data: 2, 5, 4, 5, 6, 7, 5, 9, 8, 4, 6, 7, 8
Jawab:
Data diurutkan menjadi: 2, 4, 4, 5, 5, 5, 6, 6, 7, 7, 8, 8, 9
Median = data ke-(13 + 1)/2
= data ke-7
Jadi mediannya = 6
2. Median data berkelompok
Jika data yang tersedia merupakan data kelompok, artinya data itu dikelompokkan ke dalam interval-interval kelas yang sama panjang.
Untuk mengetahui nilai mediannya dapat ditentukan dengan rumus berikut ini.

Keterangan:
Kelas median adalah kelas yang terdapat data X1/2 n
L = tepi bawah kelas median
c = lebar kelas
n = banyaknya data
F = frekuensi kumulatif kurang dari sebelum kelas median
f = frekuensi kelas median
Contoh :
Perhatikan data di bawah ini !

Tabel di atas menyajikan berat badan (dalam Kg) dari 30 balita yang ditimbang saat kegiatan Posyandu di Desa Suka Makmur. Median dari data tersebut adalah ....
Jawab:
Banyak data : 30
Letak Median : n / 2 = 30 / 2 = 15 ( data ke-15 maka terletak di rentang data 9 - 11 )
tepi bawah (L) : 9 - 0,5 = 8,5
panjang kelas (c) : 3
fk: 9
masuk ke dalam rumus

Me = 8,5 + 3 ( (15 - 9) / 12)
Me = 8,5 + 3 (6/12) = 8,5 + 1,5 = 10 kg
Jadi Median dari data tersebut adalah 10 Kg
Untuk lebih memahami tentang pencarian nilai median, coba sobat pintar kerjakan beberapa latihan di halaman berikutnya
Modus (Nilai sering muncul)
Sobat pintar, selanjutnya kita mempelajari apa itu Modus.
Modus ialah nilai yang paling sering muncul atau nilai yang mempunyai frekuensi tertinggi. Jika suatu data hanya mempunyai satu modus disebut unimodal dan bila memiliki dua modus disebut bimodal, sedangkan jika memiliki modus lebih dari dua disebut multimodal. Modus dilambangkan dengan Mo.
1. Modus data tunggal
Modus dari data tunggal adalah data yang sering muncul atau data dengan frekuensi tertinggi.
Perhatikan contoh soal berikut ini.
Tentukan modus dari data 2, 1, 4, 1, 1, 5, 7, 8, 9, 5, 5, 10
Jawab: Data yang sering muncul adalah 1 (muncul sebanyak 3 kali) dan 5 (muncul sebanyak 3 kali) . Jadi modusnya adalah 1 dan 5 (bimodal).
2. Modus data kelompok
Modus data kelompok dirumuskan sebagai berikut:

Keterangan:
L = tepi bawah kelas modus
c = lebar kelas
d1 = selisih frekuensi kelas modus dengan kelas sebelumnya
d2 = selisih frekuensi kelas modus dengan kelas sesudahnya
Quartil
Seperti yang sudah dibahas sebelumnya sobat pintar, bahwa median membagi data yang telah diurutkan menjadi dua bagian yang sama banyak. Adapun kuartil adalah membagi data yang telah diurutkan menjadi empat bagian yang sama banyak.

Keterangan :
Xmin = data terkecil
Xmax = data terbesar
Q1 = kuartil ke - 1
Q2 = kuartil ke - 2
Q3 = kuartil ke - 3
1. Kuartil data tunggal
Urutkan data dari yang kecil ke yang besar, kemudian tentukan kuartil dengan rumus sebagai berikut:

Contoh:
Tentukan Q1, Q2, dan Q3 dari data : 3, 4, 7, 8, 7, 4, 8, 4, 6, 9, 10, 8, 3, 7, 12.
Jawab:
Langkah 1:
urutkan data dari kecil ke besar sehingga diperoleh 3, 3, 4, 4, 4, 6, 7, 7, 7, 8, 8, 8, 9, 10, 12.
Langkah 2:
Letak data Q1 = 1(15+1)/4 = 4
Jadi Q1 terletak pada data ke-empat yaitu 4
Langkah 3:
Letak data Q2 = 2(15+1)/4 = 8
Jadi Q2 terletak pada data ke-delapan yaitu 7
Langkah 4:
Letak data Q1 = 3(15+1) / 4 = 12
Jadi Q3 terletak pada data ke-duabelas yaitu 8
2. Kuartil data kelompok
Nilai kuartil dirumuskan sebagai berikut:

Keterangan:
Qi = kuartil ke-i (1, 2, atau 3)
L = tepi bawah kelas kuartil ke-i
n = banyaknya data
F = frekuensi kumulatif kelas sebelum kelas kuartil
c = lebar kelas
f = frekuensi kelas kuartil
Desil
Sobat pintar, pada materi ini kali ini merupakan kelanjutan dari kuartil.
Kalau desil berfungsi membagi data menjadi sepuluh bagian yang sama besar. Setiap n data terurut dibagi menjadi 10 bagian, sehingga terdapat 9 nilai desil. Ilustrasi pembagian n data terurut menjadi 10 bagian sama banyak dan letak nilai desilnya dapat dilihat pada gambar di bawah.

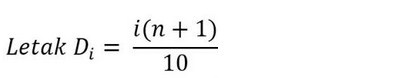
1. Desil untuk data tunggal
Berikut rumus untuk mencari nilai desil data tunggal :

Keterangan :
Di adalah desil ke-i
n adalah banyaknya data
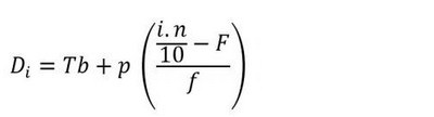
2. Desil untuk data berkelompok
Berikut rumus untuk mencari nilai desil data berkelompok :

Keterangan :
Di adalah desil ke-i
Tb adalah tepi bawah kelas desil
p adalah panjang kelas
n adalah banyaknya data
F adalah frekuensi kumulatif sebelum kelas desil
f adalah frekuensi kelas desil
Contoh :
1. Desil data tunggal
Tentukan desil ke-8 dari data : 6, 3, 8, 9, 5, 9, 9, 7, 5, 7, 4, 5, 8, 3, 7, 6.
Jawab:
n = 16
data terurut = 3, 3, 4, 5, 5, 5, 6, 6, 7, 7, 7, 8, 8, 9, 9, 9.
letak D8 = 8(16+1) / 10 = 13,6
D8 = X13 + 0,6 (X14 – X13)
=8 +0,6(9-8)
= 86
2. Desil data berkelompok
Tentukan nilai D6 dari data berikut :

Jangkauan
Ukuran penyebaran yang paling sederhana (kasar) adalah jangkauan (range) atau rentangan nilai, yaitu selisih antara data terbesar dan data terkecil.
1. Range data tunggal
Untuk range data tunggal dirumuskan dengan:
R = xmaks – xmin
Contoh :
Tentukan range dari data-data di bawah ini.
6, 7, 3, 4, 8, 3, 7, 6, 10, 15, 20
Jawab :
Dari data di atas urutkan terlebih dahulu kemudian diperoleh xmaks = 20 dan xmin = 3 Jadi, R = xmaks – xmin = 20 – 3 = 17
2. Range data kelompok
Untuk data kelompok, nilai tertinggi diambil dari nilai tengah kelas tertinggi dan nilai terendah diambil dari nilai kelas yang terendah.
footer_v3
Bersama Aku Pintar temukan jurusan kuliah yang tepat
sesuai minat dan bakatmu.
Aku Pintar memiliki visi membuat pendidikan merata, mudah dijangkau, dan terjangkau dengan Program Journey Pintar yang merupakan sebuah program persiapan lengkap bagi siswa SMA/SMK/sederajat yang ingin masuk ke perguruan tinggi impiannya.
Kontak Kami
Grand Slipi Tower Lt. 42
Jl. S. Parman Kav 22-24
Jakarta Barat
© 2024 Aku Pintar. All Rights Reserved