APSiswaNavbarV2

redesain-navbar Portlet

BelajarPintarV3

Garis Singgung

Amati gambar tersebut, misalkan A adalah suatu titik tetap pada grafik y = f(x) dan B adalah sebuah titik berdekatan yang dapat dipindah-pindahkan sepanjang grafik y = f(x). Misalkan, titik A berkoordinat (a, f(a)) maka titik B berkoordinat (a + x, f(a + x)). Garis yang melalui A dan B mempunyai gradien (kemiringan) . Garis ini memotong grafik di dua titik A dan B yang berbeda.

Jika titik B bergerak sepanjang kurva y = f(x) mendekati titik A maka nilai x semakin kecil. Jika nilai x mendekati nol maka titik B akan berimpit dengan titik A. Akibatnya, garis singgung (jika tidak tegak lurus pada sumbu-x) adalah garis yang melalui A(a, f(a)) dengan gradien.

Contoh

Perhatikan gambar berikut !

Tentukan gradien garis singgung pada kurva f(x) = x2 di titik dengan absis 2

Jawab : 

Jadi, gradien garis singgung kurva f(x) = x2 di titik dengan absis x = 2 adalah m = 4.

Materi lebih lengkap ada di Apps Aku Pintar

Download GRATIS
Aplikasi Aku Pintar Sekarang Juga!

QR Code

Materi lebih lengkap ada di Apps Aku Pintar

Download GRATIS
Aplikasi Aku Pintar Sekarang Juga!

QR Code

Menentukan Turunan Fungsi f(x) = ax

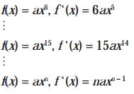
Misalkan, fungsi f(x) = axn dengan n = 1, 2, dan 3. Untuk n = 1, diperoleh f(x) = ax dan turunan fungsi tersebut adalah

Untuk n = 2, diperoleh f (x) = ax2 dan turunan fungsi tersebut adalah 

Dengan cara yang sama, coba sobat pintar cari turunan fungsi f(f x) = ax3 , f(x) = ax4 dan f(x) = ax5.

Sobat pintar dapat menurunkan hal seperti ini untuk fungsi-fungsi berikut.

Dari uraian tersebut, dapatkah sobat pintar menduga bentuk umum turunan fungsi? Cobalah nyatakan bentuk tersebut dengan kata-kata sobat sendiri. Konsep yang telah sobat pintar pelajari tersebut memperjelas kesimpulan berikut: 

 

Untuk n = 0, f(x) = axn menjadi f(x) = ax0 = a. Fungsi f(f x) = a dinamakan fungsi konstan sehingga untuk berapa pun nilai x, nilai fungsinya tetap, yaitu a.

Contoh

Tentukanlah turunan fungsi-fungsi berikut ini !

a. f(x) = x4

b. f(x) = –8x3

Jawab:

a. f(x) = x4 maka f '(x) = 4x4–1 = 4x3

b. f(x) = –8x3 maka f ' (x) = –8(3)x3–1 = –24x2

 

Bagaimana sobat pintar, apakah sudah semakin paham ? 

Materi lebih lengkap ada di Apps Aku Pintar

Download GRATIS
Aplikasi Aku Pintar Sekarang Juga!

QR Code

Materi lebih lengkap ada di Apps Aku Pintar

Download GRATIS
Aplikasi Aku Pintar Sekarang Juga!

QR Code

Materi lebih lengkap ada di Apps Aku Pintar

Download GRATIS
Aplikasi Aku Pintar Sekarang Juga!

QR Code

Materi lebih lengkap ada di Apps Aku Pintar

Download GRATIS
Aplikasi Aku Pintar Sekarang Juga!

QR Code

Materi lebih lengkap ada di Apps Aku Pintar

Download GRATIS
Aplikasi Aku Pintar Sekarang Juga!

QR Code

Materi lebih lengkap ada di Apps Aku Pintar

Download GRATIS
Aplikasi Aku Pintar Sekarang Juga!

QR Code

Materi lebih lengkap ada di Apps Aku Pintar

Download GRATIS
Aplikasi Aku Pintar Sekarang Juga!

QR Code

Menentukan Persamaan Garis Singgung pada Kurva Jika Gradien Garis Singgung Diketahui

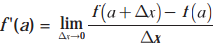
Sobat pintar tentunya telah mengetahui bahwa kemiringan (gradien) garis singgung kurva y = f(x) di titik A(a, f(a)) adalah

Persamaan garis lurus yang melalui titik P(x1, y1) dengan gradien m adalah

Dengan demikian, persamaan garis singgung g di titik A(a, f(a)) pada kurva adalah :

 

Lalu bagaimana untuk menentukan persamaan garis singgung pada kurva apabila gradien garis singgung diketahui ?pelajari uraian contoh berikut.

Contoh

Tentukan persamaan garis singgung pada kurva berikut !

y = f(x) di titik (1, 4) jika f '(x) = 3x2 + 6x

Jawab : 

Persamaan garis singgung pada kurva y = f (x) di titik (1, 4), menurut rumus adalah y – f (1) = f '(1) (x – 1).

Diketahui f(1) = 4 dan f '(x) = 3x2 + 6x maka f '(1) = 3 . 12 + 6 . 1 = 9.

Jadi, persamaan garis singgung di titik (1, 4) adalah

y – 4 = 9 (x – 1)

y = 9x – 5.

Pengertian dan Contoh Fungsi Naik Fungsi Turun

Gradien garis singgung di suatu titik pada grafik dapat ditentukan dengan turunan fungsi. Untuk fungsi naik dan fungsi turun memenuhi teorema berikut. Misalkan, fungsi f dapat diturunkan pada selang terbuka (a, b). 

1. Jika f '(x) > 0 untuk setiap x dalam selang (a, b) maka fungsi f naik pada selang (a, b).

2. Jika f '(x) < 0 untuk setiap x dalam selang (a, b) maka fungsi f turun pada selang (a, b).

 

Contoh

Periksa naik atau turunnya fungsi f(x) = –x2 pada selang (0,1).

Jawab :

f(x) = –x2 maka f '(x) = –2x.

Misalkan, p anggota (0, 1) sehingga 0 < p < 1.

f '(p) = –2p < 0 untuk p > 0 sehingga f(x) = x2 pada selang (0, 1) merupakan fungsi turun.

 

Bagaimana nih sobat pintar, sudah faham belum dengan materi yang telah di sampaikan ? yuk kita diskusikan bersama sobat pintar lainnya…..

Menentukan Maksimum dan Minimum Fungsi

Untuk menentukan nilai minimum atau maksimum fungsi f(x) dalam interval tertutup, terlebih dahulu ditentukan nilai f(x) untuk nilai x sebagai titik ujung interval domain fungsi f(x) dan nilai x yang menyebabkan f'(x) = 0. Kemudian, bandingkan nilai-nilai tersebut.

 

Contoh 

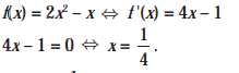
Tentukan nilai maksimum dan minimum f(x) = 2x2 – x, untuk 

Jawab :

 

Jika masih kurang paham bisa berdiskusi dengan sobat pintar lainnya ya sobat ..,

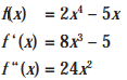
Pengertian dan Contoh Turunan Kedua

Sobat pintar telah mempelajari turunan pertama fungsi yang dinotasikan dengan

Fungsi turunan dari turunan pertama dinamakan fungsi turunan kedua yang dinotasikan dengan

Turunan kedua fungsi f(x):

Contoh 

Tentukan turunan kedua untuk fungsi f(x) = 2x4 – 5x 

Jawab : 

Jadi, turunan kedua fungsi f(x) = 2x4 – 5x adalah f“(x) = 24x²

redesain-navbar Portlet