Materi Matematika IPA - Vektor Kelas Umum - Belajar Pintar
BelajarPintarV3
Penjumlahan dan Pengurangan pada Vektor
sebelum masuk pada bagian penambahan dan pengurangan vektor, yuk sobat pintar perhatikan penjelasan berikut.
Perhatikan titik-titik
pada koordinat Cartesius berikut ini

Pada gambar tersebut, vektor a, b, dan c dapat kalian tulis sebagai berikut.

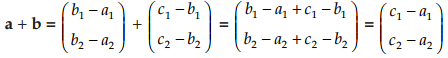
Sekarang, jumlahkanlah vektor a dan b. Karena vektor merupakan matriks kolom, maka sobat pintar dapat menjumlahkan vektor a dan b dengan menggunakan aturan penjumlahan matriks. Dengan aturan ini, akan diperoleh

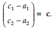
Perhatikan bahwa 
Uraian tersebut menunjukkan bahwa a +b = c. Secara geometris, penjumlahan antara vektor a dan b ini dapat kalian lakukan dengan dua cara, yaitu:
a. Cara segitiga
Dalam cara ini, titik pangkal vektor b berimpit ruas dengan titik ujung vektor a. Jumlah vektor a dan b didapat dengan menarik ruas garis dari titik pangkal vektor a ke titik ujung vektor b. Ruas garis ini diwakili oleh vektor c. Akibatnya, a +b = c.

b. Cara jajargenjang

Misalkan, vektor a mewakili ruas garis berarah dari titik pangkal A ke titik B dan vektor b mewakili ruas garis berarah dari titik pangkal C ke titik D. Dalam cara jajargenjang, titik pangkal vektor a berimpit dengan titik pangkal vektor b, yaitu A C. Dengan membuat jajargenjang ABED, akan diperoleh

Sekarang, jika vektor a dijumlahkan dengan invers vektor b, maka kalian mendapatkan penjumlahan vektor a + (-b) sebagai berikut.

Seperti pada bilangan real, kalian dapat menuliskan a + (-b) = a - b. Secara geometris, kalian dapat mengurangkan a dengan b sebagai berikut.


Perkalian Skalar Dua Vektor dan Proyeksi Vektor

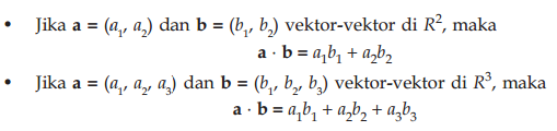
Jika a dan b vektor-vektor tak nol dan
sudut di antara vektor a dan b, maka perkalian skalar vektor a dan b didefinisikan oleh a . b = |a | |b| cos
.

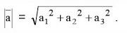
Misalkan a1, a2 dan a3 adalah bilangan-bilangan positip dan diketahui persamaan vektor a = a1i+ a2j + a3k, maka panjang vektor a secara geometris dapat digambarkan :

Dengan bantuan teorema Pythagoras dapat ditentukan panjang vektor a , yaitu:

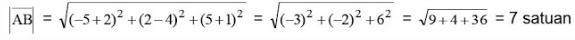
Sedangkan untuk A(Ax, Ay, Az) dan B(Bx, By, Bz) maka panjang vektor AB dirumuskan :

Sebagai contoh, misalkan vector a = 4 i – 5 j + 3 k , maka panjang vector a adalah :

Sedangkan untuk titik A(-2, 4, -1) dan B(-5, 2, 5), maka panjang vektor AB didapat:

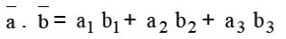
Jika a = a1i+ a2j + a3k dan b = b1i+ b2j + b3k maka perkalian skalar a dan b secara geometris didefinisikan:

Sebagai contoh diketahui dua vector a dan b seperti gambar berikut.

Sedangkan secara analitis perkalian skalar dua vektor a dan b didapat dengan cara:

footer_v3
Bersama Aku Pintar temukan jurusan kuliah yang tepat
sesuai minat dan bakatmu.
Aku Pintar memiliki visi membuat pendidikan merata, mudah dijangkau, dan terjangkau dengan Program Journey Pintar yang merupakan sebuah program persiapan lengkap bagi siswa SMA/SMK/sederajat yang ingin masuk ke perguruan tinggi impiannya.
Kontak Kami
Grand Slipi Tower Lt. 42
Jl. S. Parman Kav 22-24
Jakarta Barat
© 2024 Aku Pintar. All Rights Reserved