Materi Matematika Wajib - Sistem Pertidaksamaan Linear Dua Variabel Kelas 10 MIA - Belajar Pintar
BelajarPintarV3
Peta Belajat Bersama
Hallo Sobat! Sebelum masuk ke materi selanjutnya, yuk kita amati Peta Belajar Bersama Sistem Pertidaksamaan Dua Variabel

Konsep Sistem Pertidaksamaan Linear Dua Variabel


Sumber : Geogebra.org
Halo Sobat!
Apakah Sobat Pintar pernah melihat grafik di atas? Unik sekali, bukan? Kira-kira cara membuatnya seperti apa ya?
Nah, sekarang kita akan belajar tentang Sistem Pertidaksamaan untuk membuat grafik-grafik yang unik lho!
Pertidaksamaan Linear Dua Variabel
Pertidaksamaan Linear Dua Variabel merupakan suatu pertidaksamaan yang memuat dua variabel dengan masing-masing variabel berderajat satu dan dihubungkan dengan tanda ketidaksamaan.
![]()
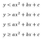
Bentuk umum Pertidaksamaan Linear Dua Variabel
Bentuk umum dari pertidaksamaan Linear Dua Variabel antara lain:

Contoh bentuk sistem pertidaksamaan linear dua variabel :

Konsep Pertidaksamaan Kuadrat Dua Variabel

Pertidaksamaan Kuadrat Dua Variabel
Pertidaksamaan kuadrat dua variabel merupakan suatu pertidaksamaan yang memuat dua variabel dengan salah satu atau kedua variabel maksimal berderajat dua dan dihubungkan dengan tanda ketidaksamaan. Perbedaan pertidaksamaan linear dengan pertidaksamaan kuadrat adalah pada derajat (pangkat) variabelnya.
Bentuk umum Pertidaksamaan Kuadrat Dua Variabel

Contoh bentuk sistem pertidaksamaan linear dua variabel :

Konsep Sistem Pertidaksamaan Linear Kuadrat

Dalam sistem pertidaksamaan kuadrat dua variabel terdapat 2 macam sistem, yaitu
- Sistem pertidaksamaan linear-kuadrat
- Sistem pertidaksamaan kuadrat-kuadrat
Sistem Pertidaksamaan Linear Kuadrat
Sistem pertidaksamaan linear-kuadrat berarti suatu sistem pertidaksamaan yang terdiri atas pertidaksamaan linear dan pertidaksamaan kuadrat.
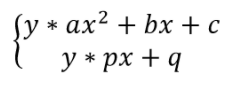
Bentuk umum Pertidaksamaan linear Kuadrat

Dengan * merupakan tanda pertidaksamaan
Langkah-langkah membuat sketsa grafik sistem pertidaksamaan linear-kuadrat sebagai berikut:
- Sketsa grafik masing-masing persamaan persamaan linear dan persamaan kuadrat
- Beri arsiran untuk daerah penyelesaian masing-masing pertidaksamaan.
- Tentukan daerah penyelesaian yang merupakan irisan atau perpotongan daerah yang memenuhi sistem pertidaksamaan terkait.
- Lakukan pengujian kebenaran dengan memilih titik uji di dalam daerah penyelesaian tersebut
footer_v3
Bersama Aku Pintar temukan jurusan kuliah yang tepat
sesuai minat dan bakatmu.
Aku Pintar memiliki visi membuat pendidikan merata, mudah dijangkau, dan terjangkau dengan Program Journey Pintar yang merupakan sebuah program persiapan lengkap bagi siswa SMA/SMK/sederajat yang ingin masuk ke perguruan tinggi impiannya.
Kontak Kami
Grand Slipi Tower Lt. 42
Jl. S. Parman Kav 22-24
Jakarta Barat
© 2024 Aku Pintar. All Rights Reserved