Materi Matematika Wajib - Program Linear Kelas 11 MIA - Belajar Pintar
BelajarPintarV3
Peta Belajar Bersama

Pertidaksamaan Linear Dua Variabel

Sobat Pintar, suatu pertidaksamaan dikatakan sebagai pertidaksamaan linear dua variabel ketika pertidaksamaan tersebut memiliki dua variabel dengan masing-masing variabel berderajat satu.
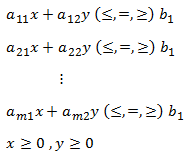
Bentuk umum dari pertidaksamaan linear dua variabel yaitu :

dengan keterangan :

Pertidaksamaan linear dua variabel memiliki himpunan penyelesaian yang tak terhingga banyaknya. Himpunan penyelesaian pertidaksamaan linear dua variabel biasanya ditampilkan dalam bentuk grafik pada bidang cartesius.
Langkah-langkah dalam mencari himpunan penyelesaian suatu pertidaksamaan linear dua variabel dapat dilakukan dengan cara sebagai berikut
Membuat garis ax+by=c
- menentukan titik potong garis ax+by=c dengan sumbu-X (y=0) dan sumbu-Y (x=0) sehingga diperoleh dua titik yaitu (x,0) dan (0,y)
- menghubungkan dua titik tersebut menjadi sebuah garis
Menguji titik pada salah satu daerah di luar garis
-
pilih satu titik uji P(x1, y1) yang berada di luar garis ax+by=c
-
hitunglah nilai dari ax1 +by1
-
bandingkan nilai dari ax1 + by1 dengan nilai c, yaitu :
a. jika ax1 + by1 < c, maka bagian yang memuat titik P(x1, y1) menjadi daerah himpunan penyelesaian dari pertidaksamaan ax+by<c
b. jika ax1 + by1 >c, maka bagian yang memuat titik P(x1, y1) menjadi daerah himpunan penyelesaian dari pertidaksamaan ax+by>c
Membuat Model Matematika dari Masalah Program Linear


Sumber : pt.slideshare.net
Sobat, dalam kehidupan sehari-hari, setiap orang yang hendak mencapai tujuan pasti akan berhadapan dengan kendala-kendala yang berkaitan dengan tujuan tersebut. Masalah kontekstual dalam kehidupan sehari-hari dapat dinyatakan dengan model matematika untuk diselesaikan dengan program linear.
Masalah program linear dua variabel adalah menentukan nilai x,y yang mengoptimumkan (maksimum atau minimum) fungsi tujuan Z(x,y)=C1 x+C2 y dengan kendala:

Langkah-langkah dalam membuat model matematika dari kendala yang ada yaitu :
- Tuliskan kendala pada soal dengan bantuan tabel
- Tentukan besaran masalah sebagai variabel yang akan digunakan
- Buatlah Sistem Pertidaksamaan Linear Dua Variabel berdasarkan kendala pada tabel
- Tentukan fungsi tujuan sebagai fungsi yang akan menjadi nilai optimum
footer_v3
Bersama Aku Pintar temukan jurusan kuliah yang tepat
sesuai minat dan bakatmu.
Aku Pintar memiliki visi membuat pendidikan merata, mudah dijangkau, dan terjangkau dengan Program Journey Pintar yang merupakan sebuah program persiapan lengkap bagi siswa SMA/SMK/sederajat yang ingin masuk ke perguruan tinggi impiannya.
Kontak Kami
Grand Slipi Tower Lt. 42
Jl. S. Parman Kav 22-24
Jakarta Barat
© 2024 Aku Pintar. All Rights Reserved